From baroclinic lows to tropical-like systems
texte final en anglais au format pdf, publié le 29 mars 2021
Plan et liens d’accès au paragraphes
Plan et lien d’accès direct aux paragraphes de ce document, un lien à la fin de chaque paragraphe permet de revenir à ce plan.
- 1 Introduction
- 2 Méthodes
- 3 Les 100 cas de cyclones dans un contexte climatologique
- 4 Anatomie basée sur les processus de la dynamique des cyclones méditerranéens
- 5. Relier les PV conservés et non conservés à l’intensité des cyclones
- 6. Résumé et conclusions
- 7. Données supplémentaires
- 8. Images développées et leurs légendes
notes de traduction
balanced :moyenné, très discutable pour mean, envisager ’compensé’
banners :banières, « Convective cloud bands were aligned parallel to these PV banners » in « journals.ametsoc.org › mwr › article »
boundary conditions conditions aux limites (du modèle)
budget : bilan
composite : est-ce « image composite » ou « image de composition de différents paramètres »
driven : induit ? entrainé par, produit par
conserved : conservé, peut-être décomposé ? (lié à conservatif ?
non-conserved tracers : traceurs des valeurs de PV non conservées, la figure 5 et 11 suggère qu’il s’agit de qmp + qcu + qmo + qbl + qlw + qsw
conserved tracers : la figure 11 et la liste des qxx ci-dessous suggère qu’il s’agit de qco
conserved .vs. non-conserved : décomposé .vs. non décomposé est une traduction plausible [?]
model time step : pas de temps du modèle
momentum : quantité de mouvement (mouvement linéaire) ou moment cinétique (mouvement de rotation), selon le contexte. Les équations de la météo traitent plutôt de la quantité de mouvement (une masse multipliée par une vitesse) que du moment cinétique (la quantité de mouvement multipliée vectioriellement pas la distance à l’axe de rotation) qu’on retrouve dans les tourbillons. Voir le glossaire de l’AMS https://glossary.ametsoc.org/wiki/M... qui l’oppose clairement au angular momentum
PBL : la « couche limite planétaire », le « planetary boundary layer » (PBL) scheme de l’université Yonsei.
piecewise PV inversion : Applying piecewise PV inversion to individual PV tracers is a well established approach to quantify the relative contribution
of different processes to the development of cyclones, voir inversion de PV par morceau dans le lexique ci-dessous
PV banners ; bannières de PV, les bannières de PV se démarquent clairement comme des filaments de valeurs PV élevées qui pénètrent dans le centre du cyclone, voir aussi banners ci-dessus
PV tracers : Toutes ces partitions de PV sont traitées par le modèle comme des scalaires, sujettes à l’advection et sont donc désignées par la suite sous le nom de traceurs de PV
PV tracers : According to this approach, the partition of the atmospheric state (wind and geopotential) due to individual PV tracers (hereafter referred to as the balanced fields)
PV partition : la partition, le découpage, la décomposition de PV
PV : potential vorticity, tourbillon potentiel, c’est du masculin
qco : (en fait q, indice co) il s’agit du traceurs des valeurs de PV conservées (.vs. non conservées)
supplementary material : documents complémentaires, dont les données brutes, disponibles par ailleurs pour étayer cet article
whiskers : moustache, dans un graphique de tableur, barre prolongeant une (des) valeur moyenne pour en préciser la dispersion (voir excel)
whiskers : barre d’erreur selon wikipedia (cf wikipedia écart type), barre d’incertitude selon d’autre (adopté)
termes utilisés dans le texte
adiabatique : se dit d’une transformation s’effectuant sans échange de chaleur avec l’extérieur de la particule considérée
bannières de PV : voir PV banners dans les notes de traduction, à préciser, voir aussi émissaires, et filaments et aussi la discussion entre l’auteur et les relecteurs (reviewers)
barocline : se dit d’une couche (d’une atmosphère) dont le champs de température est fortement contrasté dans le plan horizontal (et aussi vertical), vent thermique important.
barotrope : se dit d’une couche (d’une atmosphère) dont le champs de température est uniforme, cette couche ne génère pas de vent thermique
barre d’incertitude : barre qui, dans un diagramme statistique, permet de représenter l’amplitude des erreurs, de l’incertitude, etc. (voir whiskers)
basse couche : mieux dit que ’bas niveau’ donc préféré
chaleur latente : différence d’enthalpie massique de la vapeur d’eau et de l’eau liquide à une température donnée (Malardel, p. 248)
composant non conservé : (du PV) est représenté par la somme de tous les traceurs de PV à l’exception de qco (c.-à-d. qmp + qcu + qbl + qsw + qlw + qmo)
composite : voir composite ci dessus
conditions aux limites : les modèles météorologiques à domaine limité imposent de connaitre les conditions aux limites du domaine (idem pour des intégrations)
conservation du tourbillon le tourbillon relatif n’est conservatif que lors de déplacement méridien (== nord-sud), le tourbillon potentiel lui est quasi conservatif
conservé .vs. non conservé : « Le PV de la haute troposphère est principalement composé du traceur de PV conservé (qco), tandis que le maximum local d’anomalie de PV à 850 hPa est principalement dû aux traceurs de PV non conservés ».
cut-off : Se dit d’une dépression froide déplacée vers le sud et qui s’isole hors des grands courants d’ouest dans lesquels elle se trouvait à l’origine. Dans la circulation méandresque à 500 hPa, les méandres s’exacerbent au point qu’un bras mort se détache lors du cut-of pour former la goute froide (voir aussi séclusion pour des masses d’air chaudes)
cyclogenèse : Développement ou intensification d’une circulation cyclonique dans l’atmosphère qui mène à la formation d’une dépression. Son opposé est la cyclolyse
cyclolytique : L’opposé de ’cyclogenèse’ (dissolution des cyclones). Son équivalent pour la formation d’anticyclones est l’anticyclogénèse.
diabatique : se dit d’une transformation associée à un échange (apport, perte) de chaleur avec l’extérieur de la particule considérée (pluie, chauffage)
émissaire : (streamer en anglais), invasion d’un champs sous (généralement) la forme d’une virgule élongée
équations primitives du modèle : version simplifiée des équations de Navier et Stokes (voir wikipedia)
filaments : « déclenchant des bannières de PV, c.a.d des filaments de PV produits diabatiquement dans le sillage des montagnes ».
goute froide : voir cut-off ci-dessus, et séclusion ci-dessous pour les masses d’air chaudes.
inversion de PV par morceaux : l’inversion de PV étant une opération linéaire (la linéarité de l’inversion de PV), on peut inverser un champs de PV en inversant chacun de ses composants découpés comme on l’entend. De même un PV pouvant s’exprimer sous forme de somme de ses contributeurs (les qxx ci-dessous) on peut inverser séparément chacun de ces contributeurs pour en évaluer les impact respectifs puis les sommer (voir Arbogast in La Météorologie n° 28 et le présent article.
moment cinétique : l’équivalent pour un mouvement de rotation de la quantité de mouvement pour un mouvement linéaire, en anglais momentum
moustache : voir whiskers ci-dessus, préférer le terme « barre d’incertitude »
moyenné : en anglais ’balanced’, traduction imprécise, mais préférable à ’équilibré’
MSLP : pression moyenne au niveau de la mer
onde : On peut appeler « onde » tout phénomène physique qui, dans l’espace, affecte un milieu continu ... en se propageant au sein de ce milieu
onde : la longueur d’onde associée à cette variation/perturbation peut être longue (variation d’échelle planétaire) ou courte (variation de méso-échelle), par exemple dans « Forçage radiatif à ondes longues » ldans ce texte, dans ce cas ’longue’ est plutôt du coté de l’infrarouge et ’courte’ du coté de l’ultra-violet
onde : mais ça peut aussi bien être la longueur d’onde de la lumière « absorbent le rayonnement à ondes longues » de le texte, longue étant l’infrarouge
partition ou partitionnement, par ex découpage du champs de PV entre la partie contribuant à une atmosphère turbulente et celle contribuant à une atmosphère calme
PBL : la « couche limite planétaire », le « planetary boundary layer » (PBL) scheme de l’université Yonsei
PV : acronyme de ’tourbillon potentiel’ (c’est la dérivée du tourbillon absolureprésenté sur une surface iso-xxxx), à lire comme un masculin. A la différence du tourbillon absolu c’est une variable conservative.
qco : qco représente la partition de PV liée au flux à grande échelle
quantité de mouvement : la masse multipliée par la vitesse, paramètre conservatif présent dans les équations générales, en anglais momentum
ouragan .vs. cyclone : voir http://www.meteofrance.fr/actualite... : Les termes typhon, ouragan et cyclone tropical ... désignent un phénomène tourbillonnaire des régions tropicales (entre 30°N et 30°S) accompagnés de vents dont la vitesse est supérieure ou égale à 64 nœuds (force 12 Beaufort).
séclusion : (dans le contexte de cet article, voir le cas particulier de occlusion ici http://www.meteofrance.fr/publicati...) : Lorsque l’occlusion fait se rejoindre ainsi deux portions des surfaces frontales à distance du centre de la dépression, il se produit une séclusion, qui détache et isole une masse d’air chaude vouée à bientôt se dissiper dans la masse d’air froid environnante
synopsis : vue d’ensemble, peut aussi être résumé
tempêtes .vs. cyclone .vs ouragan : une tempête (ou un cyclone) évolue en ouragan dès que les vents moyens sont supérieur à 64 nœuds
T : la température
THETA : température potentielle, s’écrit plutôt θ
THETA-e : température potentielle équivalente, s’écrit plutôt θe
traceur : la trace, le graphe des valeurs d’une variable, une collection de traceur semble permettre de définir un profil de traceur de cette variable
traceur : Toutes ces partitions de PV sont traitées par le modèle comme des scalaires, sujettes à l’advection et sont donc désignées par la suite sous le nom de traceurs de PV
traceur non conservé : voir non-conserved tracers ci-dessus
traceur conservé : voir conserved tracers ci-dessus
troposphère : basse troposphère à préciser
troposphère : moyenne troposphère à préciser
troposphère : haute troposphère à préciser
tourbillon potentiel : une variable théorique (.vs. physique) qui est en fait le tourbillon absolu divisé (dérivé, gradient) par l’intervalle entre deux surfaces d’égale température potentielle, grandeur conservée lors des déplacements sur la sphère, elle n’est modifiée que par des échanges diabatiques (à vérifier)
tourbillon relatif : une variable physique (observable) qui apparait chaque fois qu’un champs évolue (temps, espace) de manière non uniforme dans l’espace
tourbillon d’entrainement : lié à la rotation du globe (pas plat, pas cylindrique, mais sphérique), la ’force’ de Coriolis l’illustre
tourbillon absolu : somme du tourbillon relatif et du tourbillon absolu.
termes utilisés dans les équations
par ex dans les équations 1 et 2
Q : le tourbillon potentiel, le PV (somme de qco, qmp, qcu, qbl, qsw, qlw, qmo et qr (voir équation 5)
G : l’accélération de la pesanteur
f : le paramètre de Gaspard Coriolis
μ : (mu) la masse de la colonne d’air sec,
ξ : (ksi) le tourbillon absolu (champs à 3 dimensions)
F : terme d’accélération du vent de mélange [à vérifier] incluant la friction de surface et le processus de diffusion et de turbulence (champs à 2 dimensions)
THETA : la température potentielle s’écrit aussi θ
THETA-point : (un THETA surmonté d’un point), la dérivée de THETA par rapport au temps
η : (eta) représente les niveaux du modèle
Peta : P indice eta, Pη la pression au niveau eta
Ps : P indice s, la pression à la surface (au sol )
par ex dans les équations 3 et 4 et suivantes ci-dessous
La lettre ’q’ (ex : qco) est spécifique du processus correspondant et s’applique à co, mp, cu, bl, sw, lw, mo, qui eux sont des indices de q (ex : q indice co)
q peut s’appliquer à Q (le tourbillon potentiel complet, cf. équation 5) ou a THETA (la température potentielle, cf. équation 6)
qmc : paramétrisation de convection (qcu)
qbl : paramétrage de la couche limite planétaire (qbl) ;
qlw : réchauffement / refroidissement atmosphérique par rayonnement ondes longues (qlw) ;
qsw : réchauffement / refroidissement atmosphérique par rayonnement à ondes courtes (qsw)
qmo : terme mixte d’accélération du moment appliqué aux masses d’air (qmo), qui est également fourni par le paramétrage de la couche limite.
qco : le traceur PV conservé, il représente la contribution du flux à grande échelle du PV et il est uniquement sujet à l’advection.
qmp : paramétrisations microphysiques
ν : représente le champs de vent à trois dimensions
qx : n’importe quel traceur de PV lors d’un intervalle de temps tau
tau : intervalle de temps (voir qx)
Codage des caractères spéciaux dont les lettres grecques
Les lettres grecques du code html nommé sont de la forme ’& nom ; ’ (ex : & theta ; ou & Pi ; ), selon https://www.redacteur-web-freelance.... Le mode TeX de Spip, entre <math></math>, qui est décevant n’est pas utilisé
alpha Alpha beta Beta gamma Gamma delta Delta epsilon Epsilon zeta Zeta eta Eta theta Theta iota Iota kappa Kappa lambda Lambda mu Mu nu Nu xi Xi omicron Omicron pi Pi rho Rho sigma Sigma tau Tau upsilon Upsilon phi Phi chi Chi psi Psi omega Omega
α Α β Β γ Γ δ Δ ε Ε ζ Ζ η Η θ Θ ι Ι κ Κ λ Λ μ Μ ν Ν ξ Ξ ο Ο π Π ρ Ρ σ Σ τ Τ υ Υ φ Φ χ Χ ψ Ψ ω Ω
Opérateurs utilisé dans les équations
Selon https://outils-javascript.aliasdmc....
opérateur point codé par la succession de ’&’ ’#’ ’sdot’ ’ ;’, représenté par ⋅
point : produit scalaire entre deux vecteurs, le résultat est un scalaire
opérateur plus grand ou égal codé par la succession de ’&’ ’#’ ’ge’ ’ ;’, représenté par ≥
opérateur plus petit ou égal codé par la succession de ’&’ ’#’ ’le’ ’ ;’, représenté par ≤
caractère presque égal codé par la succession de ’&’ ’#’ ’asymp’ ’ ;’, représenté par ≈
caractère dérivée partielle codé par la succession des caractères ’&’ ’#’ ’8’ ’7’ ’0’ ’6’ ’ ;’, représenté par ∂
caractère infini codé par la succession des caractères ’&’ ’#’ ’8’ ’7’ ’3’ ’4’ ’ ;’, représenté par ∞
nabla codé en html par la succession des caractères ’&’ ’nabla’ ’ ;’ représenté par ∇
produit vectoriel X Y codé par la succession des caractères ’&’ ’#’ ’1’ ’0’ ’7’ ’9’ ’9’, ’ ;’ et représenté par ⨯ ; X ⨯ Y
gradient X ∇ symbole nabla X, représenté par ∇ X
divergence X nabla point X, représenté par ∇ ⋅ X
produit scalaire X Y représenté par X ⋅ Y
produit vectoriel codé par la succession des caractères ’&’ ’#’ ’1’ ’0’ ’7’ ’9’ ’9’, ’ ;’ représenté par ⨯
croix “x” : produit vectoriel entre deux vecteurs, le résultat est un vecteur
rotationnel X ∇ représenté par ∇ X ou parfois ∇ croix X ; (la version revue préfère ’curl’ à ’rotational’), noté rot ou DELTA croix, voir https://fr.wikipedia.org/wiki/Rotat...
laplacien Δ symbole Delta au carré ; opérateur qui compare la moyenne en un point par rapport aux points adjacents
vecteur je ne sais pas surmonter un symbole d’une flèche (vecteur)
Autres
- En savoir plus sur PV : relire SatManu http://www.zamg.ac.at/docu/Manual/S... sur le PV, aussi en version française sur PTP
- Des balises de positions, dont le format est identique à celui de la ligne suivante, permettent de retrouver le texte anglais d’origine dans le document publié et final ici : https://wcd.copernicus.org/articles...
Sources
Weather Clim. Dynam., 2, 255–279, 2021 https://doi.org/10.5194/wcd-2-255-2021
A process-based anatomy of Mediterranean cyclones : From baroclinic lows to tropical-like systems
Anatomie basée sur les processus des cyclones méditerranéens : des dépressions barocliniques aux systèmes de type tropical
Emmanouil Flaounas(1), Suzanne L. Gray(2), and Franziska Teubler(3)
1 Institut des sciences de l’atmosphère et du climat, ETH Zurich, Zurich, Suisse
2 Département de Météorologie, Université de Reading, Reading, UK
3 Institute de physique atmosphérique, Université Johannes Gutenberg, Mayence, Allemagne
Correspondance à : Emmanouil Flaounas (Emmanouil.flaounas@env.ethz.ch)
Reçu : 22 septembre 2020 – Début de la discussion : 2 Octobre 2020
Révisé : 12 février 2021 – Accepté : 17 février 2021 – Publié : 29 mars 2021
Résumé.
Dans cette étude, nous abordons la question des processus atmosphériques qui transforment les cyclones méditerranéens en tempêtes violentes. Notre approche applique des diagnostics de budget de tourbillon potentiel (PV) en ligne et une inversion de PV par morceaux aux simulations du modèle WRF du stade mature de 100 cyclones méditerranéens intenses. Nous quantifions les contributions relatives de différents processus au développement des cyclones et fournissons donc, pour la première fois, un aperçu complet de la variété des systèmes cycloniques qui se développent en Méditerranée du point de vue de la dynamique des cyclones.
En particulier, nous montrons que les 100 cyclones sont systématiquement influencés par deux anomalies de PV principales : une anomalie majeure dans la haute troposphère, liée au forçage barocline du développement cyclonique, et une anomalie mineure dans la basse troposphère, liée aux processus diabatiques et au forçage du moment cinétique du vent. Parmi les processus diabatiques, la chaleur latente agit comme la principale source de PV (renforcement des cyclones), étant en partie contrebalancée par des puits de PV de diffusion de la température et de refroidissement radiatif (affaiblissement des cyclones). Il est démontré que le forçage du moment a une rétroaction ambiguë, capable de renforcer et d’affaiblir les cyclones tout en jouant dans certains cas un rôle important dans le développement des cyclones. L’inversion de PV par morceaux montre que la plupart des cyclones se développent en raison de l’effet combiné du forçage barocline et du forçage diabatique, c’est-à-dire en raison des deux anomalies de PV. Cependant, plus le forçage barocline est fort, moins il apparait qu’un cyclone se développe en raison de processus diabatiques. Plusieurs paires de cas exemplaires sont utilisés pour illustrer la variété des contributions des processus atmosphériques au développement des cyclones méditerranéens :
- cas où les processus barocliniques et diabatiques contribuent au développement des cyclones ;
- cas qui se sont principalement développés en raison d’un dégagement de chaleur latente ;
- cas se développant dans le sillage des Alpes ;
- deux cas inhabituels, l’un où le forçage du moment cinétique est prépondérant dans le développement du cyclone et l’autre présentant un double centre de pression en surface.
Enfin, nous nous concentrons sur dix cas de médicanes (c’est-à-dire de cyclones de type tropical). Contrairement à leurs homologues tropicaux - mais conformément aux cyclones méditerranéens les plus intenses - la plupart des médicanes se développent sous l’influence à la fois de processus barocliniques et de processus diabatiques. Dans la discussion des processus moteur [driven] des médicane, nous soulignons la nécessité d’une définition physique de ces systèmes.
1 Introduction
Le bassin méditerranéen fait partie des régions les plus cyclogénétiques du monde (Petterssen 1956 ; Alpert et al., 1990 ; Maheraset al., 2001 ; Neu et al., 2013). Les systèmes qui se développent dans cette région vont de faibles dépressions orographiques à des cyclones intenses ou même à des cyclones de type tropical avec des impacts socio-économiques graves (Nissen et al., 2010 ; Raveh-Rubin et Wernli, 2015). Cependant, le terme cyclones méditerranéens est généralement utilisé dans la littérature scientifique pour définir une origine géographique plutôt qu’une catégorie de cyclone avec des caractéristiques dynamiques spécifiques. En effet, l’état de l’art manque d’une analyse systématique de la dynamique de ces systèmes. À cet égard, cette étude se concentre sur les cyclones méditerranéens les plus intenses et en particulier sur les processus qui transforment ces systèmes en violentes tempêtes.
256 E. Flaounas et al. : A process-based anatomy of Mediterranean cyclones
Concernant les cyclones méditerranéens les plus intenses, il existe un consensus général sur le fait que la cyclogenèse méditerranéenne est provoquée par des systèmes intrusifs de la haute troposphère qui déclenchent une instabilité barocline (Fita et al.2006 ; Kouroutzoglou et al.2011 ; Claud et al.2010 ; Flaounas et al.2015) ). De tels systèmes correspondent généralement à des émissaires [streamer] de tourbillon potentiel (PV), équivalents aux déviations vers le sud du jet polaire qui sont le résultat direct du déferlement des vagues [déferlement et vagues au sens météo ?] sur l’océan Atlantique (Raveh-Rubin et Flaounas, 2017). Après que la cyclogenèse ait eu lieu, le forçage barocline peut intensifier davantage les cyclones de surface (par exemple, Prezerakos et al.2006 ; Lagouvardos et al.2007) favorisant, en parallèle, la convection dans les centres cycloniques en raison d’ascension forcée à grande échelle. Des études récentes ont utilisé des observations de foudre pour montrer qu’environ un tiers des cyclones méditerranéens les plus intenses sont associés à une convection profonde près de leur centre (Galanaki et al., 2016 ; Flaounas et al., 2017). En raison de la libération de chaleur latente, la convection sert de source nette de PV dans la troposphère inférieure à moyenne et renforce ainsi les circulations cycloniques. Par conséquent, l’instabilité barocline et la convection peuvent agir en synergie pour intensifier les cyclones méditerranéens (Fita et al., 2006 ; Chaboureau et al., 2012 ; Miglietta et al., 2017). Néanmoins, les processus qui jouent un rôle primordial dans le développement et l’intensité des cyclones méditerranéens reste une question ouverte.
Les Médicanes (mot valise [porte-manteau] pour ouragans méditerranéens) sont des systèmes cycloniques rares (1 à 3 occurrences par an) et ont été proposés dans plusieurs études antérieures comme partageant une dynamique similaire avec les cyclones tropicaux (par exemple, Emanuel, 2005 ; Fita et al., 2007). Cette similitude est principalement attribuée aux caractéristiques visuelles des médicanes, c’est-à-dire à un « œil » sans nuage au centre de la couverture nuageuse en spirale (Tous et Romero 2013), mais aussi à des diagrammes de phase cyclonique qui montraient des structures de cœur chaud axisymétriques (Cavicchia et al., 2014). A notre connaissance, l’identification de tous les cas connus de médicanes a été basée sur des critères subjectifs et, en particulier, sur l’observation d’images satellites de couverture nuageuse (Tous et Romero 2013 ; Nastos et al., 2017). Cependant, la similitude des médicanes avec leurs homologues tropicaux n’est pas claire du point de vue des processus atmosphériques. Bien qu’il ait été démontré que la convection profonde et les échanges de chaleur de surface induits par le vent entretiennent [sustain] la circulation cyclonique de plusieurs cas médicaux (par exemple, Miglietta et al.2013 ; Dafis et al.2018 ; Miglietta et Rotunno, 2019), un émissaire de PV de haute-troposphére ou une coupure -off est généralement situé à proximité des médicanes (Tous et Romero, 2013 ; Nastos et al., 2017). Cela suggèrent une contribution non négligeable du forçage barocline au développement des médicanes. En effet, il a été démontré que plusieurs cas de médicanes connus se développent en raison de l’effet combiné des processus barocliniques et diabatiques (Fita et al., 2006 ; Chaboureau et al., 2012 ; Carrio et al., 2017 ; Miglietta et Rotunno, 2019). En outre, une étude de cas récente d’un médicane a montré que la structure du noyau chaud axisymétrique peut être atteinte lorsqu’il y a une séclusion [isolement ?] chaude et un système de cut-off relativement faible (Fita et Flaounas, 2018). Cela soulève la question des processus moteurs des médicanes et de savoir si d’autres cyclones méditerranéens, non diagnostiqués comme médicanes, sont diabatiquement entraînés par la convection en leur centre.
L’instabilité baroclinique et la convection sont deux des processus les plus communs qui affectent les dynamiques des cyclones extratropicaux. Cependant, les cyclones méditerranéens sont également affectés par la géographie complexe de la région. Par exemple, la taille relativement petite de la mer Méditerranée et les zones arides de l’Afrique du Nord ont un effet indirect sur les cyclones en limitant leur approvisionnement en eau (Flaounas et al., 2019). D’autre part, les hautes montagnes qui entourent le bassin méditerranéen ont un effet direct sur les cyclones en interagissant avec le flux d’air et en déclenchant des émissaires de PV d’origine topographique. De tels émissaires sont généralement appelées bannières de PV (par exemple Aebischer et Schär, 1998) et correspondent à des filaments de PV produits diabatiquement par le sillage des montagnes (Rotunno et al. 1999 ; Epifanio et Durran, 2002 ; Schar et al. 2003 ; Flamant et al. 2004). Le rôle potentiel d’une telle production de PV dans la cyclogenèse alpine, l’une des zones les plus cyclogénétiques du bassin méditerranéen, a longtemps été suggéré comme important (par exemple, Bleck et Mattocks, 1984) et a été récemment examiné par Buzzi et al. (2020).
Particulièrement lorsqu’elles sont combinées avec un émissaire de PV de haute troposphère, les bannières de PV peuvent même renforcer les cyclones (Tsidulko et Alpert, 2001 ; McTaggart-Cowan et al. 2010a, 2010b). Par conséquent, le caractère unique de la région ajoute un degré plus élevé de complexité aux processus impliqués dans le développement des cyclones méditerranéens.
Les cyclones peuvent être conceptualisés comme le résultat d’anomalies de PV qui s’étendent à différents niveaux atmosphériques En tant que variable de diagnostic, le PV a été particulièrement utile pour fournir des informations approfondies sur les mécanismes de développement de différents types de cyclones, y compris les cyclones tropicaux (par exemple Möller et Montgomery, 2000 ; Chan et al. 2002) et aussi les tempêtes de latitude moyenne (par exemple Boettcher et Wernli, 2011). En conséquence, la quantification de la contribution relative des différents processus atmosphériques au PV atmosphérique total équivaut à délimiter la contribution de ces processus à la dynamique des cyclones. Par exemple, Gray (2006), Chagnon et Gray (2015) et plus récemment Spreitzer et al. (2019) ont utilisé des diagnostics de bilan de PV [PV budget diagnostic] pour analyser l’impact des processus diabatiques sur la structure dynamique de la haute troposphère. Dans le même sens, plusieurs études ont utilisé les diagnostics de bilan de PV pour étudier le rôle de la convection et plus généralement de la chaleur latente dans la structure dynamique des cyclones (Martínez-Alvarado et al. 2016 ; Büeler et Pfahl, 2017 ; Attinger et al. 2019). Par extension, l’inversion de PV par morceaux de ces contributions individuelles devrait reproduire la partition de la circulation du vent de basse couche qui est liée à chaque processus atmosphérique, c’est-à-dire la contribution de ces processus au cyclone lui-même (défini comme un tourbillon).
E. Flaounas et al. : Une anatomie basée sur les processus des cyclones méditerranéens 257
L’application de l’inversion par morceaux de PV à des traceurs de PV individuels est une approche bien établie pour quantifier la contribution relative de différents processus au développement des cyclones (par exemple Davis et Emanuel 1991 ; Wu et Emanuel 1995 ; Stoelinga, 1996 ; Huo et al. 1999 ; Bracegirdle et Gray 2009, Schlemmer et al. 2010, Seiler, 2019). Par exemple, Stoelinga (1996) et Ahmadi-Givi et al. (2004) ont quantifié la contribution des processus diabatiques à l’intensification de deux tempêtes de latitude moyenne. L’utilisation de diagnostics de bilan de PV ou de l’inversion par morceaux de PV pour effectuer une classification des cyclones basée sur les processus est toujours absente de l’état de l’art. Une telle approche étendrait l’analyse de Campa et Wernli (2012) qui ont analysé le profil vertical de PV de cyclones extratropicaux d’origine géographique différente et serait complémentaire aux efforts antérieurs de Deveson et al. (2002), suivi de Plant et al. (2003) et Gray et Dacre (2006) où les cyclones extratropicaux ont été classés en trois types selon la contribution de la haute et de la basse troposphère à leur développement. Malgré les avancées considérables dans l’analyse et la classification des cyclones tropicaux et des moyennes latitudes du point de vue du PV, les cyclones méditerranéens ont rarement fait l’objet d’études approfondies dans lesquelles leur structure dynamique est analysée dans un contexte climatologique. Dans cette étude, nous utilisons la modélisation régionale du climat pour simuler 100 des cyclones méditerranéens les plus intenses et nous analysons leur dynamique à l’aide de diagnostics de bilan de PV et de l’inversion de PV par morceaux. En particulier, nous abordons les objectifs spécifiques suivants :
1 - Quantifier la contribution relative des différents processus à la dynamique des cyclones méditerranéens, définie par la variabilité spatiale du PV au cours de leur stade de maturité ; et
2 - Délimiter le rôle des différents processus dans le développement des cyclones et ainsi fournir un aperçu du continuum théorique encore inexploré allant des cyclones de type tropical (c’est-à-dire « purement » diabatiques) aux dépressions barocliniques.
Dans la section suivante, nous introduisons la modélisation, le diagnostic et les méthodes d’inversion de PV que nous avons utilisées pour répondre à ces objectifs. La section 3 place les cyclones simulés dans un contexte climatologique, puis les sections 4 et 5 présentent nos principaux résultats. Enfin, la section 6 présente un résumé de l’analyse et des conclusions de cette étude.
2 Méthodes
2.1 Sélection des cas de cyclones et approche de modélisation
Pour construire une climatologie des cyclones, nous avons appliqué la méthode de suivi des cyclones de Flaounas et al. (2014) aux champs de tourbillons relatifs horaires à 850 hPa, tirés de la réanalyse ERA5 du Centre européen des prévisions à moyen terme (CEPMT, ECMFW) sur la période de 10 ans de 2008 à 2017 (Copernicus Climate Change Service ; C3S, 2017). De tous les cyclones suivis, nous avons retenu les 100 plus intenses. Cependant, la méthode de suivi est sensible à l’identification de maxima locaux de tourbillon relatif de longue durée et dans plusieurs cas, ces maxima n’avaient pas une structure cyclonique claire, c’est-à-dire qu’ils ne correspondaient pas à des tourbillons de vent structurés. Ces caractéristiques suivies ont été qualifiées de « faux positifs » et ont été subjectivement exclues de notre ensemble de données des 100 cyclones les plus intenses. Notre critère principal pour retenir un système est l’existence d’un maximum clair de tourbillon relatif qui est mis en évidence en entourant les contours de pression moyenne au niveau de la mer. Le tourbillon relatif et les champs de pression moyenne au niveau de la mer au moment des stades de maturité des cyclones sont indiqués dans le matériel supplémentaire. Sur 100 cyclones, dix cas ont été diagnostiqués comme des médicanes dans des études récentes (Nastos et al., 2018 ; Di Muzio et al., 2019). Ces cas sont présentés comme les cas 7, 14, 24, 28, 46, 56, 65, 69, 75, 76 du matériel supplémentaire.
Une simulation a été réalisée pour chaque cyclone individuel, en utilisant le modèle Weather, Research and Forecasting (WRF, version 4.0 ; Skamarock et al. 2008). Toutes les simulations ont été initialisées 36 heures avant le stade de maturité du cyclone, au moment du tourbillon relatif maximal dans ERA5, et durent 72 heures au total. Les conditions initiales et aux limites ont été extraites des champs horaires de la réanalyse ERA5 à 0,25 degrés d’espacement de grille. Toutes les simulations ont utilisé un domaine commun (illustré à la figure 1) qui est composé de 350x200 points de grille avec un espacement de grille de 15 km.
Sur l’axe vertical, le sommet du modèle a été fixé à 50 hPa et nous avons utilisé 34 niveaux d’ETA hybrides qui suivent la topographie du terrain dans la basse troposphère et passent progressivement à des niveaux de pression constants dans la troposphère supérieure. Le paramétrage du modèle est également courant pour toutes les simulations et se compose du schéma de microphysique à cinq classes et un seul moment [cinétique ?] (WSM5 ; Hong et al.1998, 2004), le schéma de rayonnement à ondes courtes de Dudhia (Dudhia 1989), le schéma de rayonnement à ondes longues du modèle de transfert radiatif rapide ( Mlawer et al.1997), le schéma de la couche limite planétaire (PBL) de l’Université Yonsei (Hong et al., 2006 ; Hong, 2010) et la paramétrisation convective de Kain-Fritsch (Kain 2004). Il a été démontré que cette combinaison de paramétrisation physique reproduisait adéquatement les cyclones méditerranéens (e.g. Flaounas et al. 2019 ; Fita et Flaounas, 2018 ; Miglietta et Rotunno, 2019). En particulier, l’utilisation d’un schéma microphysique à cinq classes a permis d’obtenir des simulations avec une erreur petite de trajectoire dans deux cas de médicanes, par rapport à l’utilisation d’autres paramétrisations microphysiques (Miglietta et al, 2015 ; Pytharoulis et al. 2018). Il est cependant à noter que l’absence de grêle ou de grésil [graupel] entraîne une représentation irréaliste des propriétés microphysiques des nuages convectifs profonds.
vers le menu
2.2 Traceurs de tourbillons potentiels
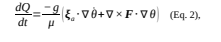
Un module a été implémenté dans WRF qui calcule le PV à chaque pas de temps du modèle selon les équations suivantes :
où Q est le PV, g est l’accélération due à la gravité, μ est la masse d’air sec de la colonne atmosphérique, ξα est le champ tridimensionnel de tourbillon absolu, F est un champ à deux dimensions qui représente un terme de mélange d’accélération du vent incluant le frottement de surface, les processus turbulents et diffusifs, θ est la température potentielle et θpoint est sa dérivée temporelle. [NDT : le DELTA inversé est l’opérateur gradient ∇]
258 E. Flaounas et al. : Une anatomie processuelle des cyclones méditerranéens
Le PV est calculé sur les niveaux eta(η) du modèle qui vont de 0 à 1 (η = (Pη-Ps) / μ , où Pη représente la pression au niveau η et Ps la pression de surface). Les équations 1 et 2 suivent la formulation de Cao et Xu (2011) qui a l’avantage d’éviter les interpolations de vent et de température à des niveaux atmosphériques autres que ceux des sorties du modèle. Après le calcul du PV total, un diagnostic du bilan de PV est activé à chaque pas de temps du modèle. Ce diagnostic suit des approches méthodologiques antérieures où le PV atmosphérique total est décomposé en plusieurs partitions non conservées [several non-conserved partitions] et une partition conservée (Lamarque et Hess, 1994 ; Stoelinga, 1996 ; Gray, 2006). Toutes ces partitions de PV sont traitées par le modèle comme des scalaires, sujettes à l’advection et sont donc désignées par la suite sous le nom de traceurs de PV [PV tracers]
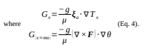
Chaque traceur de PV non conservé est attribué à un processus paramétré qui agit comme une source ou un puits de PV atmosphérique. Au total, six traceurs de PV non conservés sont utilisés. Ceux-ci proviennent : de la libération de chaleur latente par les paramétrisations microphysiques (qmp) et de convection (qcu) ; de flux turbulents de température par le paramétrage de la couche limite planétaire (qbl) ; du réchauffement / refroidissement atmosphérique par rayonnement à ondes courtes (qsw) et ondes longues (qlw) ; et d’un terme mixte d’accélération de la quantité de mouvement appliqué aux masses d’air (qmo), qui est également fourni par le paramétrage de la couche limite. Comme expliqué ci-dessous, le traceur de PV conservé (qco) représente la contribution du flux à grande échelle au PV et est uniquement sujet à l’advection. En revanche, les traceurs de PV non conservés sont, en plus de l’advection, également soumis à des accumulations de gains et pertes nets de PV. Ces gains et pertes de PV représentent les termes de droite de l’équation 2 et dérivent des forçages nets de température et de moment (cinétique ?] des paramétrisations physiques du modèle aux équations primitives. Plus précisément et suivant l’annotation dans Stoelinga (1996), chaque traceur de PV est calculé à chaque point de grille du modèle comme suit :
ν représente le champ de vent tridimensionnel et qx représente tout traceur de PV à un pas de temps donné τ, lié au processus x (co, mp, cu, bl, sw, lw ou mo). Le terme qx(0) représente la valeur des traceurs de PV dans les conditions initiales du modèle, tandis que les sources et puits de PV sont représentés par le terme Gx. Ce dernier est calculé par l’équation 4, en utilisant les sorties de vent du modèle complet et les tendances de température issues des paramétrisations du modèle (représentées par le terme Tx). Enfin, il est à noter que Gmo est calculé en utilisant F issu du paramétrage de la couche frontière et le θ du modèle complet.
Étant donné que qco représente la partition de PV liée au flux à grande échelle, le PV atmosphérique total à l’instant initial (qco(0) dans l’équation 3) et les conditions aux limites [boundary conditions] sont entièrement attribuées à qco, tandis que le terme Gx est mis à zéro dans l’équation 3. En conséquence, qco est constamment introduit dans le domaine en prescrivant le PV atmosphérique complet du flux à grande échelle - indépendamment du fait qu’il soit produit par des processus non conservatifs - et il est interprété comme la partition de PV qui incorpore la dynamique « externe » au domaine de la simulation (c’est-à-dire la région méditerranéenne). D’autre part, les traceurs PV non conservés à l’instant (qx(0) dans l’équation 3) et les conditions aux limites sont tous mis à zéro. Cette approche suggère que les processus diabatiques ne commencent à avoir lieu qu’après les conditions initiales de la simulation et uniquement dans le domaine de la simulation. L’établissement des conditions initiales 36 heures avant le stade de maturité du cyclone est une période assez suffisante pour inclure la cyclogenèse.
E. Flaounas et al. : Une anatomie par processus des cyclones méditerranéens 259
En effet, la durée de vie caractéristique des cyclones méditerranéens est de l’ordre de deux jours (Flaounas et al.2015). Par conséquent, les traceurs de PV non conservés accumulent des sources et des puits de PV en raison de processus spécifiques (terme Gx dans l’équation 4) et ainsi « mémorisent » les processus qui conduisent les cyclones à s’intensifier. À n’importe quel pas de temps du modèle, le PV total est égale à la somme de tous les traceurs :
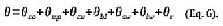
Comme pour les traceurs de PV, la température potentielle peut également être traitée comme un traceur (traceurs Θ ci-après), soumis à l’advection et aux accumulations de tendances de température (Tx) telles que produites à partir des paramétrisations physiques. Par conséquent, un traceur Θ conservé et plusieurs traceurs Θ non conservés peuvent être considérés, de la même manière que PV (sauf pour le moment cinétique qui n’applique pas de changements directs de température) :
Les modèles ne sont pas contraints numériquement à conserver le PV à chaque pas de temps du modèle (Saffin et al, 2016). Par conséquent, dans les équations 5 et 6, un résidu se produit représenté par le terme avec l’indice r. Ce résidu peut être principalement attribué au noyau dynamique du modèle et aux ajustements apportés par le modèle aux variables pronostiques dans les équations primitives. Cependant, le terme résiduel n’atteint pas de grandes valeurs et sa moyenne dans un rayon de 300 km autour des centres cycloniques est de l’ordre de 0,2 PVU. Des résidus plus élevés ne sont trouvés que dans le premier niveau du modèle avec une médiane de -0,17 PVU, mais compris entre -0,5 et -1 PVU dans 14 cas sur 100. Enfin, il est à noter que la version 4.0 du modèle WRF utilise la température potentielle humide pour permettre un traitement cohérent de l’humidité dans le calcul de la pression dans son noyau dynamique. Pour les besoins de notre analyse, nous pourrions également utiliser la température potentielle humide comme base pour calculer un champ de PV généralisé pour une atmosphère humide. Schubert et al. (2001) ont montré qu’un tel champ de PV humide respecte toujours le principe d’inversibilité et intègre ainsi toutes les informations qui définissent l’état de l’atmosphère. Cependant, pour être cohérent avec les études précédentes, nous avons effectué notre analyse avec tous les champs de PV du WRF calculés avec la température potentielle.
vers le menu
2.3 Inversion de PV par morceaux
La contribution de différents processus à la circulation cyclonique du vent a été déterminée en inversant des anomalies de PV individuels sous balancement non linéaire [ inverting individual PV anomalies under nonlinear balance] (Charney 1955 ; Davis et Emanuel, 1991). D’après Stoelinga (1996), chaque traceur de PV peut être considéré comme une anomalie de PV, à l’exception de qco, qui est approximativement égal au champ de PV complet dans la haute troposphère. Par conséquent, les anomalies qco ont été définies comme des différences par rapport aux moyennes sur trois jours de qco, c’est-à-dire la durée de chaque simulation. Une période de trois jours peut sembler courte pour définir les anomalies de PV dans les cas de systèmes à évolution lente de la haute troposphère. Cependant, les anomalies doivent être définies de manière cohérente pour les 100 cyclones et les cyclones méditerranéens sont des systèmes à durée de vie relativement courte. Par conséquent, nous considérons qu’une moyenne de trois jours est un bon compromis pour l’application de l’inversion de PV par morceaux dans cette étude.
Pour effectuer l’inversion de PV par morceaux, nous avons utilisé « l’approche par soustraction » de Davis (1992) qui a déjà été appliquée dans des études antérieures pour séparer les contributions advectives du PV de haute-troposphère et du PV de basse troposphère et les anomalies de température potentielles des anomalies de PV de haute troposphère Piaget et al., 2015 ; Teubler et Riemer 2016 ; Schneidereit et al., 2017 et Teubler et Riemer 2020). Selon cette approche, la partition de l’état atmosphérique (vent et géopotentiel) due à des traceurs de PV individuels (ci-après dénommés champs moyennés [balanced]) est obtenue en soustrayant l’état moyenné lié à l’inversion du PV total de l’état lié au PV total moins les traceurs individuels de PV. Par exemple, le champ de vent moyenné, U-barre [une barre au dessus de U], dû à qmp est égal à
Toutes les sorties du modèle ont été interpolées sur une grille régulière longitude-latitude avec un espacement de 1 degré et à des niveaux de pression allant de 950 à 100 hPa avec un pas de 50 hPa. Enfin, à la suite de Stoelinga (1996), l’inversion de PV par morceaux des traceurs de PV individuels a été réalisée en contraignant [prescribing] les traceurs θ pertinents dans les conditions aux limites des niveaux de pression atmosphérique supérieur et inférieur comme conditions aux limites de Neumann (925 et 125 hPa respectivement), sauf pour qmo qui n’est pas associé à un traceur θ pertinent.
De nombreux tests de sensibilité ont été effectués pour converger vers une application universelle d’inversion de PV par morceaux pour les 100 simulations. Les résultats de la méthode ont d’abord été évalués sur la base des emplacements précis des cyclones, en comparant les emplacements des cyclones dans les champs de tourbillon relatifs équilibrés (calculés en utilisant les sorties de vent équilibrées de l’inversion de PV) à ceux des sorties du modèle. Malgré l’utilisation de champs interpolés, les champs de vent équilibrés ont montré des emplacements de cyclones remarquablement précis avec un biais moyen de moins de 1 degré. De plus, la validité de la méthode a été évaluée par la comparaison dans les centres cycloniques de (1) le champ de tourbillon équilibré à 850 hPa après avoir inversé le PV complet avec (2) la somme des champs de tourbillon équilibrés au même niveau de pression après avoir inversé les traceurs de PV conservés et tous les traceurs non conservés. Après avoir appliqué l’inversion de PV, nous avons retenu 94 cas. Les résultats ont montré que pour ces cas, le rapport entre les deux champs variait entre 0,9 et 1,1. Cela suggère que les processus d’inversion des traceurs de PV individuels peuvent expliquer avec précision la contribution des différents processus à la circulation cyclonique d’au moins 90%. Dans les six autres cas, le ratio dépassait 1,1, présentant un maximum de 1,4.
260 E. Flaounas et al. : Anatomie processuelle des cyclones méditerranéens

- Figure 1
- Image développée et sa légende
3. Les 100 cas de cyclones dans un contexte climatologique
La figure 1 montre les emplacements et les profondeurs des 100 cyclones simulés au moment de leur stade de maturité (c’est-à-dire lorsqu’ils atteignent le tourbillon relatif maximal à 850 hPa). Les cas ont tendance à se concentrer sur les zones maritimes, en particulier sur la Méditerranée occidentale. On trouve moins de systèmes en Méditerranée orientale, tandis qu’un petit groupe de systèmes atteint leur intensité maximale sur les zones continentales de l’Afrique du Nord. En ce qui concerne la répartition saisonnière de leur occurrence, la figure 2a montre que la plupart des cyclones se produisent en hiver et moins souvent en automne et au printemps, alors qu’aucun n’a été observé en été à l’exception de trois cas en juin. Bien qu’il y ait un certain arbitraire dans la sélection des cas, la distribution spatiale et saisonnière des 100 cas est cohérente avec les études climatologiques précédentes des cyclones méditerranéens intenses (Campins et al.2011 ; Flaounas et al.2018).

- Figire 2
- Image développée et sa légende
De même, la pression moyenne au niveau de la mer au centre de nos 100 cyclones est comparable aux distributions climatologiques pertinentes. En effet, la figure 2b montre que les 5ème, 50ème et 95ème cyclones simulés présentent des valeurs de 985, 998 et 1005 hPa, respectivement. Ceci est comparable aux résultats de Flaounas et al. (2018) où des cyclones intenses ont été suivis dans différents modèles climatiques régionaux sur une période de 20 ans. Dans leurs résultats, les 5è, 50è et 95é percentiles de la profondeur des cyclones variaient approximativement entre 1000-1005 hPa, 995-1000 hPa et 985-990 hPa, respectivement (leur figure 8). Par conséquent, nos cas de cyclones peuvent être vraisemblablement considérés comme représentatifs de la climatologie des cyclones méditerranéens intenses.
Enfin, pour avoir un aperçu de la dynamique des 100 cyclones, la figure 3 montre les moyennes composites de la température potentielle équivalente et du vent à 850 hPa pour les 100 cyclones simulés, ainsi que leur pression moyenne au niveau de la mer et PV à 300 hPa.

- Figure 3
- Image développée et sa légende
Les champs composites sont spatialement centrés sur les centres des cyclones et temporellement centrés à l’instant du stade de maturité des cyclones (c’est-à-dire lorsque les cyclones ont leur tourbillon relatif maximal). La figure 3 montre clairement que les cyclones se développent dans un environnement barocline où une température potentielle équivalente représente des structures frontales. L’émissaire de PV composite est également clair à 300 hPa, présentant une structure nord-sud amincie chevauchant le plus souvent le secteur froid du cyclone composite. Les valeurs de PV les plus élevées sont légèrement au sud du centre du cyclone composite. Ces résultats sont en assez bon accord avec les études antérieures sur la structure dynamique de 200 cyclones méditerranéens intenses, suivis dans une climatologie de 20 ans (Flaounas et al., 2015 ; leur figure 3).
4. Une anatomie basée sur les processus de la dynamique des cyclones méditerranéens
Dans ce qui suit, nous analysons la structure dynamique des 100 cyclones à l’aide des profils verticaux et horizontaux du PV atmosphérique complet et des traceurs de PV. Les profils verticaux ont été moyennés dans un rayon de 100 km autour des centres cycloniques. Ce rayon est petit par rapport à la taille caractéristique des cyclones, mais suffisant pour englober les anomalies de PV en leurs centres. Cette analyse donnera un aperçu des processus qui forment des anomalies de PV à proximité des centres cycloniques et jouent ainsi un rôle important dans leur dynamique.E. Flaounas et al. : Une anatomie processuelle des cyclones méditerranéens 261
4.1 Structure dynamique des cyclones : PV conservés et non conservés

- Figure 4
- Image développée et sa légende
4.1.1 Profil vertical du PV total : Tous les cyclones présentent un profil vertical de PV similaire (figure 4a) avec un maximum local de l’ordre de 1,3 PVU à 850 hPa et une augmentation spectaculaire du PV au-dessus de 400 hPa. Campa et Wernli (2012) ont montré qu’un tel profil est typique pour les cyclones extratropicaux où le maximum local de PV aux niveaux inférieurs est lié à l’échauffement diabatique et les valeurs de PV élevées dans la haute troposphère sont liées aux émissaires de PV, ou, plus généralement, aux masses d’air stratosphériques qui chevauchent les centres des cyclones. En effet, les valeurs de PV de la figure 3 sont cohérentes avec celles des profils verticaux de la figure 4.
4.1.2 PV conservé : l’émissaire de PV de la figure 3 correspond à de l’air stratosphérique qui pénètre dans la Méditerranée et est donc contraint par les conditions limites du domaine [is prescribed in the boundary conditions of the domain]. En conséquence, la composante conservée du PV à des niveaux supérieurs à 400 hPa (qco ; figure 4b) présente des valeurs comparables au PV total (figure 4a). En effet, les champs de qco et de PV atmosphérique total présentent une amplitude et une forme similaires lorsque l’on compare leurs sections transversales horizontales à 300 hPa sur les figures 5a et 3, respectivement.
Contrairement à la troposphère supérieure, le profil vertical de qco a tendance à être plutôt invariant en dessous de 400 hPa, présentant une valeur moyenne de l’ordre de 0,5 PVU (figure 4b). Cependant, la qco à de faibles niveaux dépasse 1 PVU dans plusieurs cas, en particulier dans les premiers niveaux du modèle. La figure 5b montre que des valeurs plus élevées de qco sont liées à un émissaire de PV de basse couche qui chevauche le secteur froid des cyclones et s’enroule de manière cyclonique autour de leur centre. N’étant soumis qu’à l’advection, qco est fortement dépendant du PV total dans les conditions initiales des simulations. L’origine de cet émissaire de basse couche est vraisemblablement liée à des valeurs proéminentes de PV proches des caractéristiques orographiques. En effet, les conditions initiales de PV à 850 hPa sont cohérentes avec la figure 5b, montrant des valeurs de l’ordre de 0,5 PVU près des montagnes (non représentées).
Le rôle des montagnes en tant que sources de PV a été démontré précédemment par Schär et Durran (1997). Les auteurs ont utilisé des simulations idéalisées pour montrer que des anomalies de PV peuvent être générées dans le sillage des montagnes en raison de la dissipation interne au flux d’air. Par conséquent, les montagnes agissent vraisemblablement comme une source de valeurs de PV relativement élevées qui renforcent potentiellement les cyclones. Cette hypothèse a été confirmée dans une étude de cas de McTaggart-Cowan et al. (2010b). Les auteurs ont réalisé plusieurs tests de sensibilité sur la dynamique d’un médicane qui s’est développé près des Alpes. Les résultats ont montré que la suppression des montagnes avait un effet néfaste sur la cyclogenèse, inhibant son apparition.

- Figure 5
- Image développée et sa légende
4.1.3 PV non conservé : le composant non conservé du PV est représenté par la somme de tous les traceurs de PV à l’exception de qco (c.-à-d. qmp + qcu + qbl + qsw + qlw + qmo) La figure 4c présente une alternance verticale de signes : des valeurs négatives sont observées près de la surface (environ 975 hPa) à 950 hPa, par la suite des valeurs positives existent de 950 à 600 hPa, avec un maximum à 850 hPa, et enfin, des valeurs négatives sont observées entre environ 600 et 300 hPa. Du point de vue de la dynamique atmosphérique, cette alternance de signes suggère que les processus diabatiques ont tendance à agir comme un puits de PV près de la surface, comme une source dans la troposphère basse moyenne, et à nouveau comme un puits dans la troposphère supérieure. Il est à noter que qsw présente des valeurs particulièrement faibles avec une valeur moyenne proche de zéro dans les centres cycloniques (non représentée). Par conséquent, l’analyse basée uniquement sur qsw est omise ci-après.
Dans la couche la plus basse (de la surface à 950 hPa), les valeurs négatives des traceurs de PV non conservés ont tendance à être équilibrées par les valeurs positives invariantes verticalement de qco (figure 4b), résultant en une moyenne de PV proche de zéro (figure 4a). Dans la couche médiane (de 950 à 600 hPa), les processus diabatiques sont fortement caractérisés par le maximum local à 850 hPa (figure 4a). Ce maximum local devrait être encore amélioré par les valeurs typiquement positives du qco de basse couche (figure 5b). Cependant, la figure 5d montre que le maximum local de basse couche des traceurs de PV non conservés a tendance à être concentré près des centres cycloniques. Cette caractéristique contraste avec l’émissaire plus large du PV conservé de basse couche de la figure 5b, suggérant que les processus diabatiques devraient être directement liés à la circulation cyclonique de basse couche.
Enfin, dans la haute troposphère (de 600 à 300 hPa), les traceurs de PV non conservés agissent comme un puits de PV plutôt faible. En effet, la figure 5c présente des valeurs significativement faibles par rapport à celles illustrées sur la figure 5a. Néanmoins, les traceurs de PV non conservés ont tendance à éroder l’amplitude de l’émissaire de PV du niveau supérieur et contribuent ainsi en partie à l’amincissement de sa structure méridionale sur la figure 3. Il est à noter que les valeurs des figures 5a et 5c sont plutôt lissées car elles correspondent à des moyennes composites. Dans certains cas, la forme des émissaires de PV devrait présenter des arêtes vives en raison de processus diabatiques qui peuvent localement agir comme de puissants puits de PV (par exemple, Gray, 2006 ; Chagnon et al.2013 ; Spreitzer et al., 2019).
4.2 Structure dynamique des cyclones : contribution des processus au PV non conservé
Chaleur latente : La figure 4d montre que le chauffage latent agit comme une source majeure de PV dans la basse et moyenne troposphère. En effet, des valeurs positives de qmp + qcu sont observées de la surface à 500 hPa. En revanche, qmp + qcu présente des valeurs négatives plutôt faibles de 500 à 300 hPa, agissant comme un puits de PV. Comme déduit de l’équation 2, cette alternance de signe sur la figure 4d est liée au gradient vertical du chauffage latent. En effet, la figure 6a montre que θmp + θcu présente sa valeur maximale à environ 500 hPa, c’est-à-dire le niveau où son gradient vertical passe du positif au négatif.
262 E. Flaounas et al. : A process-based anatomy of Mediterranean cyclones

- Figure 6
- Image développée et sa légende
Par conséquent, le profil vertical de θmp + θcu est assez cohérent avec celui de qmp + qcu. En revanche, le profil vertical des tendances instantanées de dégagement de chaleur latente (Tmp + Tcu) sur la figure 6b n’est pas cohérent, présentant son maximum local à 800 hPa, c’est-à-dire à des niveaux inférieurs à 500 hPa comme c’est le cas pour θmp + θcu en figure 6a. Etant donné que θmp + θcu s’accumulent et transportent des tendances instantanées de libération de chaleur latente, cette incohérence peut être attribuée à l’un ou très probablement à la combinaison de deux effets possibles : la convection est affaiblie au moment de la maturité des cyclones par rapport aux moments précédents et des valeurs Tmp + Tcu élevées sont advectées vers le haut dans la colonne atmosphérique convective. Pour clarifier cette question, nous avons utilisé les trajectoires de tous les 100 cyclones et produit des profils similaires à la figure 6b à un instant 12 heures avant le stade de maturité des cyclones. Les résultats ont montré que le maximum local de Tmp + Tcu était bien situé à un niveau atmosphérique proche de 500 hPa (non représenté), suggérant plausiblement que cette incohérence est due à l’affaiblissement de la convection lorsque les cyclones atteignent leur stade de maturité. En conséquence, les traceurs qmp + qcu sont capables d’inclure la « mémoire dynamique » de la convection des moments précédents, c’est-à-dire que la convection peut encore renforcer les cyclones passé le moment de son activité maximale. Ce résultat est cohérent avec Miglietta et al., (2013) et Galanaki et al., (2016) qui ont trouvé que l’intensité maximale des cyclones méditerranéens est précédée d’une convection profonde dans les centres cycloniques, mais aussi avec Price et al., (2009 ) et Whittaker et al., (2015) qui ont montré que l’intensité maximale des cyclones tropicaux survient ultérieurement dans le temps, après le moment du pic de l’activité convective. Il est également à noter que θmp + θcu présente des valeurs négatives de la surface à 850 hPa. Des résultats récents sur le bilan hydrique [water budget] des cyclones méditerranéens ont montré que ces valeurs négatives sont liées à l’évaporation des pluies (Flaounas et al., 2019).
E. Flaounas et al. : Anatomie processuelle des cyclones méditerranéens 263
Concernant le niveau vertical de contribution de la chaleur latente à la dynamique cyclonique, la figure 4d montre que qmp + qcu présente son maximum à 900 hPa, c’est-à-dire en dessous du maximum local de PV non conservé à 850 hPa (figure 4c). La figure 7a montre que qmp + qcu agit en effet comme une source significative de PV à 900 hPa. Cependant, les valeurs positives de qmp + qcu sont réparties selon une direction sud-ouest / nord-est, c’est-à-dire qu’elles suivent la structure frontale des cyclones où la convection est favorisée. En comparant cette dispersion des valeurs positives de qmp + qcu aux valeurs positives étroitement concentrées pour tous les traceurs de PV non conservés de la figure 5d, il est plutôt évident que d’autres traceurs de PV agissent comme des puits de PV, tendant à contrebalancer les sources de PV dues à la chaleur latente, en particulier le long des fronts cycloniques. Il est à noter que bien que les structures frontales soient évidentes sur les figures 3 et 7, leur emplacement exact, leur intensité et leur profil PV vertical dépendent du cas considéré. En conséquence, les maxima de PV produits par le chauffage latent le long des fronts froids et leurs tendances de PV associées juste en dessous et au-dessus de ces maxima (Lackmann 2002) seront dans une certaine mesure incohérents entre les cyclones. Cela affectera les valeurs des moyennes composites de la figure 7a. De telles incohérences sont également attendues dans les moyennes composites d’autres traceurs de PV proches de la surface (par exemple, les figures 7c et 7e), où le PV est généralement négatif dans le secteur froid, en raison d’une stabilité statique faible ou négative, et des valeurs positives dans le secteur chaud ( Vannière et al. 2016).
Enfin, malgré le rôle important de la température de surface de la mer (SST) dans la modulation de la convection (par exemple Miglietta et al. 2011 ; Pytharoulis, 2018), nous n’avons trouvé dans cette étude aucune dépendance saisonnière ou relation directe entre les SST et qmp+qcu dans les faibles niveaux atmosphériques (pas représenté). Ceci est dû en partie à la diversité de la dynamique des 100 cyclones et en partie au fait que tous les systèmes se produisent dans différentes régions et différentes saisons. Par exemple, la convection peut différer entre deux systèmes avec des SST sous-jacents similaires en raison d’une ascension forcée à grande échelle différente. De même, deux cyclones qui se produisent au cours de la même saison, mais dans des zones différentes, sont très susceptibles de présenter des différences considérables dans leurs SST sous-jacentes et par conséquent à la convection. En fait, l’étude du rôle de la SST dans la dynamique des cyclones du point de vue des traceurs de PV n’est pas un problème simple en raison de la caractéristique des traceurs de PV qmp+qcu d’accumuler le PV produit diabatiquement. En conséquence, une masse d’air qui a un impact sur la dynamique des cyclones pourrait avoir subi les gains PV dus à la chaleur latente dans les zones éloignées jusqu’au centre des cyclones.
264 E. Flaounas et al. : Une anatomie processuelle des cyclones méditerranéens
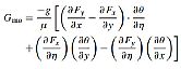
échanges de moment cinétique [momentum exchange] avec l’environnement : Le profil vertical de qmo est très variable dans les 100 cas de cyclone (figure 4e). Au niveau de pression 850 hPa, il y a 73 cas où qmo est positif et fonctionne donc comme une source de PV (avec un maximum de l’ordre de 2 PVU) et 27 cas où qmo est négatif et fonctionne donc comme un puits (avec un minimum de l’ordre de -0,5 PVU). Ceci est cohérent avec Stoelinga (1996) qui a analysé le rôle de qmo dans le développement d’une étude de cas de développement de cyclone et a montré qu’en effet ce traceur de PV peut agir à la fois comme une source et un puits de PV. Pour comprendre la contribution ambiguë de qmo au développement des cyclones, nous développons l’équation 4 dans les trois termes suivants :
Adamson et al. (2006) ont utilisé des simulations numériques pour analyser en profondeur le rôle de qmo dans le développement d’un cyclone idéalisé. Dans leur analyse, le premier terme est responsable de la « production de Ekman » [Ekman generation] de PV et est proportionnel à la contribution de la paramétrisation de la PBL à la vorticité relative du cyclone. En tant que tel, ce terme correspond typiquement à un puits de PV dû à la décélération du vent par les forces de frottement, c’est-à-dire que les forces de frottement imposent une circulation anticyclonique. D’autre part, les deuxième et troisième termes sont responsables de la génération « barocline » de PV et sont exprimés par le produit scalaire entre la composante horizontale du rotationnel [curl] de F et le gradient horizontal de θ.
Conformément à Adamson et al. (2006), la figure 7b montre que les valeurs positives de qmo ont tendance à être concentrées sur le côté nord-est et près du centre des cyclones et les valeurs négatives ont tendance à être concentrées sur le côté sud-ouest.
Adamson et al. (2006) ont montré que la génération barocline de PV (c’est-à-dire les deux derniers termes de l’équation 8) correspond à une source de PV significative, où des anomalies positives ont été suggérées comme étant progressivement advectées par des bandes transporteuses chaudes vers le haut et éventuellement vers les pôles et vers le côté ouest des centres des cyclones. Par conséquent, la fonction de qmo en tant que source ou puits de PV au centre des cyclones dépend de la composante verticale du rotationnel [curl] de F, de l’amplitude de la baroclinicité et de sa position relative par rapport à la composante horizontale du rotationnel [curl] de F, mais aussi à l’advection de qmo au centre du cyclone. Cependant, la taille relativement petite du bassin méditerranéen, ses transitions terre-mer abruptes et la courte durée de vie des cyclones ne permettent pas toujours une formation claire de structures frontales.
Il est donc plausible de suggérer que la contribution de qmo au développement des cyclones peut varier considérablement d’un cas à l’autre avec une tendance générale à renforcer les cyclones, c’est-à-dire que la moyenne de la figure 4e présente des valeurs positives à 850 hPa. Une étude d’un cas exemplaire est utilisé dans la section 5.4 pour fournir plus de détails sur la génération barocline de PV dans qmo.
vers le menu
Flux turbulents de température : Le profil vertical de qbl (figure 4f) montre que les flux turbulents de température ont tendance à agir comme une source de PV dans les tout premiers niveaux du modèle et comme un puits juste au-dessus. En effet, la figure 7c montre que qbl à 1000 hPa présente des valeurs globalement positives, principalement concentrées le long du front froid et à proximité du centre composite du cyclone [composite cyclone centre]. Clairement, les valeurs de qbl sur la figure 7c sont irréalistiquement élevées, comparées aux valeurs typiques du PV total dans la troposphère. De telles valeurs élevées peuvent être attribuées au fort gradient vertical des flux de température dans la couche de surface, c’est-à-dire dans les deux premiers niveaux du modèle. En effet, la figure 6b montre un gradient vertical positif dans le profil moyen des flux turbulents de température (Tbl) pour les premiers niveaux du modèle. Cependant, il est à noter que le profil vertical de Tbl est soumis à des variabilités diurnes de la hauteur de la PBL affectant ainsi son gradient vertical et l’amplitude de qbl. De plus, qbl présente une forte variabilité d’amplitude et de signe sur les centres des cyclones dans la figure 4f. Il agit comme une source de PV dans les premiers niveaux du modèle pour 74 cas et comme un puits de PV pour les 26 cas restants. Pour ces 26 cas, la moyenne composite [composite average] de qbl à 1000 hPa présente une structure cohérente avec celle représentée sur la figure 7c (non représentée). Cependant, le centre du cyclone dans ces cas est légèrement déplacé par rapport à la zone où qbl présente des valeurs élevées. Par conséquent, les profils verticaux de qbl sur la figure 4f sont relativement sensibles à l’emplacements des centres cycloniques. En accord avec le gradient vertical négatif monotone de θbl sur la figure 6a, qbl agit comme un puits de PV dans les niveaux atmosphériques au-dessus de la PBL [voir lexique] (approximativement fixé à 950 hPa). Enfin, les valeurs négatives de qbl à 850 hPa (figure 7d) ont tendance à chevaucher la zone où qmp + qcu présente des valeurs positives de PV élevées sur la figure 7a. Ce résultat suggère que les flux turbulents de température agissent comme un puits de PV et ont donc tendance à contrecarrer le rôle de la chaleur latente dans le renforcement de la circulation cyclonique.
vers le menu
Forçage radiatif à ondes longues de la température : Le profil vertical moyen de qlw (figure 4g) montre des valeurs globalement négatives dans toute la colonne atmosphérique, en particulier dans la PBL [voir lexique]. Ces valeurs négatives sont cohérentes avec les gradients verticaux négatifs observés à la fois pour θlw et Tlw sur les figures 6a et 6b, respectivement. En ce qui concerne qbl, le profil vertical de qlw sur la figure 4g présente des valeurs de PV irréalistiquement basses de PV dans les premiers niveaux du modèle, par rapport aux valeurs de PV totales dans la troposphère. Cela est dû à une forte diminution de Tlw dans les premiers niveaux du modèle.
E. Flaounas et al. : A process-based anatomy of Mediterranean cyclones 265

- Figure 7
- Image développée et sa légende
En effet, les valeurs positives de Tlw dans le premier niveau du modèle sont imputables aux concentrations élevées de vapeur d’eau qui absorbent le rayonnement des ondes longues, tandis que les valeurs négatives dans les niveaux ci-dessus sont principalement liées au refroidissement, dû au rayonnement thermique des masses d’air. En fait, les profils verticaux moyens de qbl et qlw sur la figure 4 semblent être symétriques et ont donc tendance à se contrer mutuellement, en particulier au tout premier niveau du modèle. En effet, le coefficient de corrélation entre les valeurs de qbl et qlw au premier niveau du modèle pour les 100 cyclones est de -0,96. De plus, les figures 7c et 7e montrent des distributions spatiales similaires pour les champs de qbl et qlw. Il est plausible que les flux turbulents de vapeur d’eau et de température soient soumis au même mécanisme physique et provoquent ainsi des gradients de température verticaux similaires de Tbl et Tlw près de la surface. En conséquence, qbl et qlw sont d’amplitudes similaires. D’un autre côté, et bien qu’ils soient fortement corrélés, qbl et qlw ne sont pas d’égale valeur absolue. Les différences entre les 100 centres de cyclones au premier niveau du modèle présentent une moyenne de -1,3 PVU et un écart type de 1,8 PVU. Cela suggère une forte variabilité entre les deux champs, qui à son tour dépend fortement de plusieurs facteurs tels que la concentration de vapeur d’eau ambiante [background water vapour concentration] et aussi si les centres cycloniques sont situés au-dessus des zones maritimes ou continentales. Dans les niveaux atmosphériques au-dessus de la PBL, qlw présente des valeurs négatives principalement concentrées dans les centres des cyclones (figure 7f). La somme de qbl et qlw (figure 4h) montre que les deux traceurs de PV agissent comme un puits de PV dans la basse troposphère et devraient donc affaiblir le cyclone.
Résumé. Le PV de la haute troposphère est principalement composé du traceur de PV conservé (qco), tandis que le maximum local d’anomalie de PV à 850 hPa est principalement dû aux traceurs de PV non conservés (figure 4c). La figure 8 résume les profils moyens des traceurs de PV dans la basse troposphère

- Figure 9
- Image développée et sa légende

- Figure 8
- Image développée et sa légende
Le réchauffement latent et l’accélération [l’augmentation ?] du moment cinétique devraient amplifier le cyclone en agissant comme des sources de PV (qcu + qmp et qmo, représentés par les lignes bleues et noires, respectivement), tandis que les flux turbulents et le refroidissement dus au rayonnement à ondes longues devraient affaiblir le cyclone en agissant comme des puits de PV (qbl + qlw, indiqués par une ligne rouge). Le profil vertical des traceurs de chaleur latente de PV [latent heat PV tracers] (qcu + qmp) a son maximum à 925 hPa, où le dégagement de chaleur latente (θcu + θmp sur la figure 6a) augmente brusquement avant d’atteindre sa valeur maximale à environ 500 hPa.
En revanche, le profil de qbl + qlw a son minimum au niveau de 950 hPa, c’est-à-dire à peu près au sommet de la PBL [couche limite planétaire, voir lexique]. Il n’est pas surprenant que les profils verticaux de qcu + qmp et qbl + qlw sur la figure 8 aient tendance à présenter des structures verticalement symétriques, le rayonnement à ondes longues et les flux turbulents devraient augmenter proportionnellement à l’intensité de la convection. Cette relation directe est évidente dans le nuages de points de la figure 9, où qcu + qmp et qbl + qlw sont comparés au niveau 850 hPa pour les 100 cyclones et présentent un coefficient de corrélation de -0,87. Cependant, en considérant la pression moyenne au niveau de la mer dans les centres des cyclones comme une mesure de l’intensité (représentée par la taille des points sur la figure 9), il est assez évident qu’il n’y a pas de schéma systématique qui relie qcu + qmp ou qbl + qlw à l’intensité des cyclones. Par conséquent, le rôle d’autres processus dans l’intensification des cyclones devrait être crucial, en particulier le mélange de quantité de mouvement [momentum mixing] et l’instabilité barocline (c’est-à-dire le rôle de qco dans la circulation cyclonique).
5. Relier les PV conservés et non conservés à l’intensité des cyclones

- Figure 10
- Image développée et sa légende
Dans la section précédente, nous avons utilisé des traceurs de PV pour mieux comprendre le rôle des différents processus atmosphériques dans la formation de la structure dynamique des cyclones. Cependant, délimiter la contribution [respective] des processus barocline et diabatique au développement des cyclones n’est pas une tâche triviale. À cette fin, nous utilisons l’inversion de PV par morceaux pour définir le partitionement de l’état atmosphérique liée [respectivement] au PV conservée et au PV non conservée. La figure 10 présente sous forme d’un nuage de points les valeurs du tourbillon relatif moyenné [balanced] dans les centres cycloniques à 850 hPa, calculées à partir des champs de flux moyennés après inversion (respective] des anomalies de qco et de la somme de tous les traceurs de PV non conservés (c.a.d. qmp + qcu + qbl + qsw + qlw + qmo). Les cercles rouges de la figure 10 représentent les médicanes de notre jeu de données. Les valeurs correspondent aux moyennes à moins de 300 km du centre des cyclones à l’instant de leur stade de maturité.
La figure 10 montre une tendance linéaire négative (coefficient de corrélation -0,65) qui suggère que plus une circulation cyclonique est due au forçage barocline (qco), moins elle est due à des processus diabatiques. En fait, la majorité des cas - environ 60 cyclones - se sont révélés être liés à des valeurs plus élevées de tourbillon relatif dues au forçage barocline (qco) plutot qu’à des processus diabatiques.
266 E. Flaounas et al. : Une anatomie des cyclones méditerranéens basée sur les processus
La plupart des systèmes ont des valeurs positives de tourbillon relatif moyenné en raison à la fois du forçage barocline et desprocessus diabatiques ; cependant, les valeurs négatives de tourbillon de la figure 10 ne doivent pas automatiquement être interprétées comme des contributions cyclolytiques [l’inverse de cyclogenèse, la destruction] au développement des cyclones. Par exemple, des valeurs négatives de tourbillon relatif moyenné sur la figure 10 peuvent être provoquées par un changement anticyclonique [veering, rotation horaire] brusque des vents faibles [caused by a sharp anticyclonic steering of weak winds], incorporés dans un champ de vent cyclonique plus large. C’est pourquoi l’inversion de PV par morceaux est utilisée dans cette section pour mieux comprendre quels processus jouent un rôle principal dans le développement du cyclone, plutôt que pour quantifier précisément la contribution de différents processus à la circulation du vent cyclonique. Dans les sections suivantes, nous présentons et discutons plusieurs cas remarquables de cyclones méditerranéens.
E. Flaounas et al. : Anatomie processuelle des cyclones méditerranéens 267
5.1 Forçage synergique des processus barocline et diabatique

- Figure 11
- Image développée et sa légende
La figure 11 montre les champs de vent et géopotentiels moyennés pour deux cas de cyclone au cours de leur stade de maturité. Les deux cas ont des contributions positives au développement provenant des processus barocliniques et diabatiques selon la figure 10. Le premier cyclone est situé dans la Méditerranée centrale et correspond à un cyclone assez profond avec une valeur de pression moyenne au niveau de la mer [MSLP] minimale de 988 hPa (dans le haut 10% de nos cas ; figure 2). Le deuxième cyclone (figure 11b) est moins profond (994 hPa) et se situe au nord de la Sicile. En comparant les champs de tourbillon moyenné dérivés de l’inversion du PV complet (figures 11a et 11b) et les centres des cyclones issus des sorties de simulation (cyclones n° 5 et n° 78 dans le matériel supplémentaire), il est clair que l’inversion de PV a donné une représentation précise des deux systèmes.
Les figures 11c et 11d montrent que les deux cas sont clairement associés à un émissaire de PV qui pénètre en Méditerranée depuis le nord, s’enroulant de manière cyclonique autour du centre des cyclones. La figure 11c montre que le centre du cyclone est proche du minimum local de géopotentiel, qu’impose les anomalies de qco à 850 hPa, tandis que le centre du deuxième cyclone de la figure 11d est repris [embedded] dans une circulation cyclonique plus large et plutôt plus faible.
Conformément à la circulation imposée par qco, les centres des deux cyclones sont également colocalisés avec le minimum local du champ de géopotentiel imposé par les traceurs de PV non conservé à 850 hPa (figures 11e et 11f). En conséquence, les forçages barocliniques et diabatiques contribuent de manière synergique au développement des deux cyclones. On s’attend à ce qu’un tel scénario soit typique pour la plupart des cyclones intenses, dont la majorité sont concentrés dans la plage des valeurs positives de tourbillon relatif de la figure 10. Enfin, il convient de noter que la figure 11e montre un filament de hautes valeurs de PV de direction sud-nord sur la mer Égée et un autre qui s’étend vers le sud à partir du centre du cyclone. Les deux filaments semblent souligner la structure frontale du cyclone et coïncident avec les valeurs élevées de tourbillon relatif à la fois dans la figure 11a et dans le matériel supplémentaire (cyclone n° 5).
5.2 Cyclones provoqués par un échange diabatique

- Figure 12
- Image développée et sa légende
La figure 12 présente deux cas où les processus diabatiques contribuent fortement au développement des cyclones. Les deux cyclones sont situés dans la Méditerranée centrale et présentent un centre dépressionnaire bien marqué. En particulier, le cyclone de la figure 12a est parmi les plus profonds de notre ensemble de données (982 hPa).
En revanche, le cyclone de la figure 12b est l’un des plus faibles avec en son centre une pression moyenne au niveau de la mer de 1010 hPa. Dans les deux cas, qco présente une faible anomalie de PV dans la haute troposphère avec une forme plutôt irrégulière (Figs 12c et 12d). Dans le premier cas, cette anomalie impose un champ de vent moyenné assez faible à 850 hPa (figure 12c), tandis que dans le second cas la circulation cyclonique imposée est clairement déplacée du centre du cyclone (figure 12d).
268 E. Flaounas et al. : Une anatomie processuelle des cyclones méditerranéens
Contrairement au composant conservé de PV, le PV non conservé sur les figures 12e et 12f présente des valeurs élevées de PV qui sont concentrées dans les centres du cyclone.

- Figure 13
- Image développée et sa légende
L’inversion de telles valeurs élevées se traduit par des champs géopotentiels moyennés avec de forts gradients, tous deux présentant des minimum locaux aux centres des cyclones (figures 12e et 12f). Pour clarifier davantage le rôle de la convection dans ces deux cas, la figure 13 montre les champs de qmp + qcu + qbl + qlw à 850 hPa, ainsi que leur géopotentiel moyenné imposé et les champs de vent. Dans les deux cas, les traceurs de PV sont assez similaires à ceux des figures 12e et 12f, tandis que les champs moyennés imposés montrent clairement une circulation cyclonique autour des centres des cyclones. Les différences entre la figure 13 et les figures 12e et 12f sont principalement attribuées à qmo (qsw est négligeable) ; cependant, ces différences ne changent pas le rôle principal de la convection dans la formation de la circulation cyclonique. Par conséquent, les figures 12 et 13 présentent deux cas où l’instabilité barocline joue un rôle secondaire dans leur développement et ainsi ils peuvent être considérés comme des cyclones provoqués par un échange diabatique.
270 E. Flaounas et al. : Une anatomie processuelle des cyclones méditerranéens
5.3 Forçage des cyclones par les montagnes

- Figure 14
- Image développée et sa légende
La figure 14 montre deux exemples qui correspondent à la cyclogenèse alpine. Le champ de tourbillon relatif à 850 hPa présente des valeurs élevées qui chevauchent le côté ouest de la chaîne de montagnes alpines (figure 1) à la fois dans la sortie du modèle réel [actual ] et dans les champs moyennés des figures 14a et 14b.
La cyclogenèse dans les cas de la figure 14 - comme pour la majorité des cyclones méditerranéens - est liée à l’intrusion d’un émissaire de PV. Comme le montrent les figures 14c et 14d, pendant le stade de maturité des cyclones, l’émissaire est située au-dessus des îles de Corse et de Sardaigne imposant une circulation cyclonique sur la région. Dans le premier cas (figure 14a), la circulation cyclonique associée à la distribution complète de PV est centrée sur le golfe de Gênes et s’étend sur toute la région méditerranéenne. En revanche, l’émissaire dans le second cas est située du côté est d’un talweg de basse altitude (figure 14b) et donc sa circulation cyclonique imposée est déplacée vers l’Est, au-dessus de la mer Adriatique (figure 14d). Malgré les différences entre les deux cas, les deux émissaires de PV imposent de forts vents du nord qui passent au dessus du versant ouest des Alpes. On s’attend à ce que ces vents augmentent le gradient horizontal de vitesse du vent entre le côté ouest et le coté est des Alpes et renforcent ainsi le tourbillon relatif.
Dans les deux cas, les bannières de PV se démarquent clairement comme des filaments de valeurs de PV élevées qui pénètrent dans le centre du cyclone depuis le flanc ouest des Alpes (figures 14e et 14f). L’inversion par morceaux des traceurs de PV non conservés montre que ces filaments imposent une circulation cyclonique centrée sur les Alpes et renforce les cyclones (figures 14e et 14f).

- Figure 15
- Image développée et sa légende
Pour mieux comprendre les processus conduisant à ces filaments, la figure 15 décompose en outre les traceurs de PV non conservés à 850 hPa en qmp + qcu + qlw + qbl et qmo. Dans les deux cyclones, les valeurs élevées de PV sont clairement liées aux valeurs élevées de qmo, tandis que qmp + qcu + qlw + qbl semble jouer un rôle secondaire parmi les traceurs de PV non conservés.
E. Flaounas et al. : Anatomie processuelle des cyclones méditerranéens 271
Il est cependant important de souligner que ces cyclones ne se formeraient probablement pas sans les émissaires de PV de haute troposphère.
En fait, le forçage barocline et la production topographique de PV contribuent tous deux à la cyclogenèse sous le vent. Cependant, démêler leurs contributions relatives est une question plutôt difficile car les deux processus se déroulent en parallèle (Buzzi et al. 2020 et références y figurant). Néanmoins, les traceurs de PV peuvent fournir des informations supplémentaires sur ce problème complexe. Comme discuté dans la section 4.1, les montagnes sont susceptibles de jouer le rôle d’une source de PV « constante » en raison de leur interaction avec le flux d’air. Cette source de PV constante est imprimée dans les conditions initiales des simulations et correspond au précurseur de bas niveau de qco qui s’enroule cycloniquement autour des centres cycloniques de la figure 5b. Cependant, la figure 15 montre qu’une grande partie des valeurs élevées de PV à proximité des montagnes est liée à qmo et donc à la production de PV d’Ekman et à la production barocline (les deux derniers termes de l’équation 8). À cet égard, la production de PV joue un rôle important dans la cyclogenèse sous le vent. Ceci est cohérent avec les tests de sensibilité de McTaggart-Cowan et al. (2010b) qui ont montré que la suppression des Alpes inhibait la cyclogenèse d’un medicane.
Après le stade de la cyclogenèse, les cyclones méditerranéens sont encore influencés par les interactions des montagnes avec le flux d’air en raison de la géographie complexe de la région et de ses transitions terre-mer abruptes.
Par exemple, une masse d’air peut renforcer un cyclone lorsqu’elle atteint son centre en raison d’une production antérieure de PV tout en interagissant avec la topographie. Cependant, la période de temps pendant laquelle les masses d’air maintiennent leurs valeurs élevées de qmo est plutôt incertaine, c’est la « mémoire dynamique » de qmo, similaire à celle discutée pour le chauffage latent dans la section 4.2. Il est donc assez difficile de discerner les zones où l’influence des montagnes est plus importante. Une telle analyse bénéficierait d’une approche Lagrangienne (par exemple Attinger et al. 2019) où l’évolution et l’origine des valeurs élevées de qmo pourraient être ramenées [backtracked] aux montagnes. Cependant, ceci est actuellement hors du champ de cette étude et fera l’objet d’une étude de recherche suivante.
5.4 Deux cas particuliers de cyclones méditerranéens
Dans cette section, nous présentons deux cas assez particuliers pour illustrer la variabilité de la dynamique impliquée dans le développement des cyclones.

- Figure 16
- Image développée et sa légende
vers le menu
Le premier cas est présenté sur la figure 16a où le centre du cyclone est niché [nested] dans une structure méridienne allongée de valeurs élevées de tourbillon relatif à 850 hPa. Cette structure allongée est assez cohérente avec les sorties directes du modèle (cyclone n° 24 dans le matériel supplémentaire).
Cependant, dans les sorties du modèle, il y a aussi un maximum local secondaire de tourbillon relatif au sud du centre réel. Les champs moyennés de la figure 16a capturent plutôt ce centre secondaire comme une extension vers le sud de valeurs élevées de tourbillon relatif. De tels cyclones à double centre ont été trouvés dans plusieurs endroits des zones extratropicales (Hanley et Caballero, 2012). La figure 16c montre que le centre du cyclone primaire (représenté par le point magenta) est colocalisé avec le minimum local du champ géopotentiel imposé par qco.
272 E. Flaounas et al. : Une anatomie processuelle des cyclones méditerranéens
Par conséquent, ce cyclone est clairement renforcé par l’instabilité barocline. Fait intéressant, le champ géopotentiel imposé par le PV non conservé présente également un minimum local, mais ce minimum coïncide avec le centre secondaire du cyclone situé au sud du centre primaire. Par conséquent, un double centre d’un cyclone peut être formé en raison de différents processus et un cyclone pourrait être caractérisé comme un système entraîné [driven] de manière diabatique ou de manière baroclinique en fonction du choix de son centre représentatif. Un cas de cyclone méditerranéen à double centre a été récemment montré par Carrio et al., (2020). Dans leur analyse de l’étude de cas, les auteurs ont montré qu’un centre cyclonique secondaire était niché [nested] dans un cyclone principal [main, primary cyclone]. Ce dernier correspondait à un cyclone baroclinique de basse pression, lié à une structure frontale évidente, tandis que le centre du cyclone secondaire était lié à un minimum local de pression généré par convection.
vers le menu
Le deuxième cas de cyclone (figure 16b) correspond à l’un des rares cyclones de notre jeu de données qui présente des valeurs exceptionnellement élevées de qmo à 850 hPa. Ce cyclone assez profond (990 hPa) est situé sur le côté sud-ouest de la Sardaigne et est lié à un émissaire de PV plutôt « irrégulier » par rapport aux exemples précédents (figure 16d). L’émissaire présente une direction est-ouest le long du 37° N, il entre dans la région depuis l’océan Atlantique et a des valeurs de PV inférieures à celles des autres exemples illustrés. Le champ de géopotentiel imposé par qco à 850 hPa est caractérisé par une circulation anticyclonique centrée sur l’Italie et une circulation cyclonique centrée sur l’Afrique du Nord. Le centre du cyclone sur la figure 16b est situé entre ces deux circulations opposées et, par conséquent, qco ne contribue pas de manière significative à la circulation cyclonique, au moins pendant l’étape de maturation du cyclone. D’autre part, la somme de tous les traceurs de PV non conservé sur la figure 16f montre des valeurs plutôt élevées qui sont concentrées autour du centre du cyclone.
E. Flaounas et al. : Anatomie processuelle des cyclones méditerranéens 273
Cela conduit à un fort gradient de géopotentiel sur la figure 16f centré sur le centre du cyclone. Le terme qmo représente environ 80% de ces valeurs positives élevées (non représentées) et par conséquent, le forçage de la quantité de mouvement [momentum forcing, peut être moment cinétique] a un rôle de premier plan dans le développement du cyclone.
À notre connaissance, il s’agit de la première étude qui montre un système cyclonique où la phase mature est auto-entretenue par le forçage de la quantité de mouvement au sein de la PBL. Il est cependant à noter que la paramétrisation de la convection que nous utilisons dans cette étude manque d’ajustements de la quantité de mouvement au champ de vent. Il est donc possible qu’une partie des valeurs qmo élevées de la figure 16f soit liée à la réponse de la paramétrisation de la PBL à la convection. Pour tester cette hypothèse, nous avons effectué une simulation supplémentaire où la paramétrisation convective de Kain-Fritsch (Kain 2004) a été remplacée par celle de Tiedke (Zhang et Wang, 2017). Ce dernier fournit des ajustements de quantité de mouvement, introduits dans le modèle comme un forçage de quantité de mouvement supplémentaire dans les équations primitives du modèle. Par conséquent, nous avons introduit un traceur PV supplémentaire à l’équation 5. Ce nouveau traceur de PV est calculé de la même manière que qmo, alors que F dans l’équation 4 représente les ajustements de quantité de mouvement par paramétrage de la convection de Tiedke. Les résultats de cette nouvelle simulation sont très cohérents avec la simulation d’origine et qmo présente toujours des valeurs de PV exceptionnellement élevées. En fait, le nouveau traceur de PV est de l’ordre de 0,2 PVU en valeur absolue proche du centre du cyclone (non représenté).

- Figure 17
- Image développée et sa légende
Cette étude de cas que nous présentons sur la figure 16f est particulièrement intéressante pour mieux comprendre le rôle ambigu de qmo en agissant à la fois comme source et puits de PV dans les centres cycloniques. Pour cette raison, nous avons décomposé davantage le bilan [budget] de PV en introduisant deux traceurs de PV supplémentaires. Ces nouveaux traceurs de PV combinent les trois termes de l’équation 8 : le premier traceur de PV accumule la production de PV d’Ekman due au premier terme de l’équation 8 (ci-après qmol) et le deuxième traceur PV accumule la génération PV barocline due aux deuxième et troisième termes de l’équation 8 (ci-après qmo2). La figure 17a montre la température potentielle à 850 hPa, ainsi que les champs de vent, qmo et qmo1 au moment de la maturité du cyclone. Le cyclone a une structure frontale claire où des valeurs élevées de qmo sont concentrées le long du front chaud. Cette configuration est assez similaire aux résultats de simulation idéalisés d’Adamson et al. (2006). Contrairement à qmo, qmo1 agit de manière cyclolytique, en imposant des valeurs PV négatives autour du centre du cyclone. Par conséquent, il est clair que la génération de PV d’Ekman affaiblit la circulation cyclonique et donc les valeurs de PV élevées de qmo près du centre du cyclone sont par défaut liées à qmo2. Pour mieux comprendre cette source de PV, la figure 17b montre la coupe verticale de Fx le long de la ligne pointillée verte de la figure 17a. De plus, la figure 17b montre la génération de PV barocline instantanée, c’est-à-dire la somme des deuxième et troisième termes de l’équation 8. Les sources PV sont situées à l’intérieur de la PBL, du côté est du cyclone (contours noirs sur la figure 17b) où le gradient vertical de Fx est négatif. Bien que la production de PV barocline par forçage de quantité de mouvement au sein de la PBL devrait être courante dans les cyclones extratropicaux, les conditions qui conduisent qmo à dominer la dynamique d’un cyclone restent à déterminer. Ce sera l’objet d’une prochaine étude.
5.5 Medicanes dans une perspective basée sur le PV
Il a depuis longtemps été proposé que les medicanes partagent une dynamique similaire à celle des cyclones tropicaux. Néanmoins, un émissaire de PV ou un système de cut-off est couramment présent à proximité des medicanes et, par conséquent, le forçage baroclinique doit contribuer au développement de ces systèmes (Tous et Romero 2013 ; Flaounas et al., 2015 ; Nastos et al., 2018). Cela soulève la question de savoir si les medicanes peuvent être considérés comme des systèmes « purement » diabatiques, entraînés [pilotés, induit driven] par un dégagement de chaleur latente comme dans leurs homologues tropicaux. Les dix cas inclus dans cette étude ont été diagnostiqués comme médicanes en raison de leur couverture nuageuse en spirale et de leur « œil » sans nuage (Nastos et al., 2018 ; Di Muzio et al., 2019).
274 E. Flaounas et al. : Anatomie processuelle des cyclones méditerranéens
L’application de l’inversion de PV par morceaux aux composants conservés et non-conservés de PV est une méthode suffisante pour déterminer si ces medicanes partagent effectivement des dynamiques similaires avec les cyclones tropicaux, ou du moins sont « principalement » entraînés par des processus diabatiques.
La figure 10 place la plupart des médicanes (représentées par des cercles rouges) dans la plage des contributions positives des forçages barocliniques et diabatiques. Cependant, deux médicanes ont une contribution proche de zéro du qco, y compris le médicane Trixie (Di Muzio et al., 2019) qui correspond au cas présenté sur la figure 12b. De plus, un cas de médicane unique est montré par la figure 10 comme étant une valeur aberrante avec des contributions considérables à son tourbillon relatif provenant à la fois des processus barocliniques et diabatiques : 5,7 et 2,5 x 10-5 s-1, respectivement. Les autres médicanes de la figure 10 sont similaires aux cas mixtes présentés dans la section 5.1 et donc l’implication du forçage baroclinique à travers l’émissaire de PV ne peut être négligée. Cette découverte concorde avec les études précédentes où les techniques de séparation des facteurs ont montré que l’émissaire de PV joue un rôle primordial dans le développement des médicanes, en particulier lors de l’interaction avec les processus diabatiques (Fita et al., 2006 ; Carrio et al., 2017).
Dans cette étude, nous nous concentrons sur le stade de maturité des cyclones, c’est-à-dire lorsque les cyclones atteignent leur intensité maximale. Aux premiers stades de leur cycle de vie, le forçage par l’émissaire de PV ne sera que plus important car l’instabilité barocline est le principal processus de cyclogenèse. Néanmoins, la contribution des valeurs élevées de PV dans la basse troposphère au développement du cyclone pendant la phase de cyclogenèse ne peut être négligée. En effet, la cyclogenèse de plusieurs cas de medicanes - ainsi que d’autres cas - a coïncidé avec, ou est venue après, des événements convectifs majeurs (Miglietta et al., 2013 ; Flaounas et al., 2015 ; Fita et Flaounas, 2018). Comme discuté dans la section 4, l’effet mémoire des émissaires de PV peut être important pour l’intensification des cyclones même après le pic d’activité convective.
Pendant qu’un cyclone se développe, des valeurs croissantes de PV produit diabatiquement en son centre peuvent éventuellement conduire à une transition tropicale, c’est-à-dire lorsqu’un cyclone initialement formé sous forme de dépression barocline n’est finalement entretenu que par un dégagement de chaleur latente (Davis et Bosart, 2004). Nos résultats montrent que cette transition ne peut être exclue en Méditerranée ; cependant, cela semble être un scénario de cas plutôt rare, en particulier en raison de la courte durée de vie des cyclones et des transitions brusques terre-mer. De tels cas seraient des valeurs aberrantes qu’on retrouve dans le coin supérieur gauche du nuage de points de la figure 10. Cependant, la figure 10 montre que, pour les cas considérés ici, ces valeurs aberrantes n’ont pas été identifiées comme des médicanes, probablement en raison du non-respect du critère phénoménologique d’un « œil » sans nuage en leur centre. Par conséquent, une nouvelle définition des medicanes qui réside dans la dynamique atmosphérique devrait être établie en tant que systèmes soutenus ou fortement entraînés [driven] par des processus diabatiques.
6. Résumé et conclusions
Du point de vue de la pensée PV, un cyclone peut être conceptualisé comme la fusion [amalgamation] de différentes anomalies de PV. Dans ce cadre, nous avons implémenté dans WRF, et appliqué, un diagnostic en ligne à 100 simulations des systèmes les plus intenses qui ont eu lieu sur une période de 10 ans, de 2008 à 2017. Ce diagnostic a décomposé le PV en différents composants, chacun lié à un processus physique paramétré et a permis à l’inversion de PV par morceaux de fournir des informations supplémentaires sur le rôle des différents processus dans le développement des cyclones.
Notre premier objectif visait à quantifier la contribution relative de différents processus à la structure de PV des cyclones méditerranéens. La structure verticale de PV des 100 cyclones a montré deux contributions principales : l’une dans la haute troposphère, liée à l’intrusion de l’émissaire de PV en Méditerranée, et l’autre dans la basse troposphère, liée à la production nette de PV due aux processus diabatiques. Alors que l’anomalie de troposphère supérieure est presque uniquement composée du traceur de PV conservé (qco), celle de la troposphère inférieure est le résultat de la somme de plusieurs traceurs contrastés de PV non conservés. Plus précisément, le dégagement de chaleur latente apparait correspondre à une source nette de PV depuis le niveau du sol jusqu’à la moyenne troposphère, à environ 500 hPa. Il a été démontré que cette production nette de PV était en partie contrecarrée par des processus puits liés au rayonnement à onde longue et à la diffusion turbulente de la température. Par conséquent, qmp + qcu et qlw + qbl présentent deux profils verticaux presque symétriques autour de zéro. Finalement, leur somme correspond à une anomalie positive de PV à environ 850 hPa, c’est-à-dire le niveau où les cyclones ont généralement leur intensité maximale en termes de tourbillon relatif. Il a été démontré que le mélange de quantité de mouvement [momentum] et les forces de frottement ont un effet ambigu sur l’intensité du cyclone. En effet, il a été démontré que qmo présentait à la fois des signes négatifs et des signes positifs dans la basse troposphère, bien que sa contribution moyenne sur les 100 cyclones se soit avérée positive. Fait intéressant, plusieurs cas présentaient des valeurs de qmo exceptionnellement élevées, comparables au PV produit en raison du dégagement de chaleur latente. Enfin, nos résultats ont montré que qco dans les niveaux inférieurs de l’atmosphère peut atteindre des valeurs élevées à proximité des montagnes. De telles valeurs préexistent à la cyclogenèse et on attend qu’elles augmentent l’amplitude du maximum local de PV dans les centres de cyclone à 850 hPa, mais aussi qu’elles équilibrent les valeurs négatives de PV dans les premiers niveaux du modèle en raison de qlw + qbl.
Notre deuxième objectif visait à analyser le développement des cyclones en ce qui concerne leur forçage barocline et diabatique. En fait, la figure 9 a montré qu’il n’y a guère de relation directe entre les anomalies positives de PV de basse couche dues au dégagement de chaleur latente (qmp + qcu) et l’intensité du cyclone. Par conséquent, les processus diabatiques seuls ne fonctionnent pas comme un indice d’intensité cyclonique. En effet, l’inversion de PV par morceaux a montré que la plupart des cyclones se sont développés grâce à la contribution des forçages baroclines et diabatiques. En fait, la figure 10 a montré que les deux forçages ont tendance à avoir une relation linéaire négative : plus un cyclone est entraîné [driven ] par le diabatique, moins l’instabilité barocline contribue à son stade de maturité.
E. Flaounas et al. : Une anatomie par processus des cyclones méditerranéens 275
L’inversion de PV par morceaux est une méthode qui intègre des incertitudes dues aux défis techniques de son application. Par conséquent, nos résultats distinguent les processus qui jouent un rôle principal dans le développement des cyclones, plutôt que de quantifier leur contribution précise. Dans ce contexte, plusieurs cas d’exemples de cyclones méditerranéens ont été analysés à l’aide de champs de traceurs de PV inversés conservés et non conservés [inverted conserved and non-conserved PV tracer fields]. Dans la plupart des cas, la contribution de l’émissaire de PV de niveau supérieur s’est avérée importante pour le cyclone en surface. En fait, les centres des cyclones étaient généralement situés au centre ou à l’intérieur de la circulation cyclonique de basse couche imposée par qco. Il a été montré que quelques cas étaient principalement induits pas des processus diabatiques. Dans ces cas, l’émissaire de PV était toujours présent, mais il imposait une circulation cyclonique de basse couche plutôt faible. D’autres exemples de cas de cyclogenèse alpine ainsi que le cas présenté sur la figure 16b ont montré que le rôle de qmo n’est pas négligeable et peut même jouer un rôle principal dans le maintien de la circulation cyclonique. Enfin, nous nous sommes concentrés sur les médicanes et, en particulier, sur les processus qui animent [drive] leur développement. Les résultats ont montré que la plupart des cas connus de médicane se sont développés en raison du forçage de processus diabatiques et de processus barocliniques, bien que certains cas comme Trixie se soient développés sous l’influence d’un fort forçage diabatique.
Cette étude met en lumière la contribution variable des différents processus atmosphériques au développement des cyclones méditerranéens. À cet égard, le PV, et plus précisément les traceurs de PV, est une méthode parfaitement adéquate pour traduire des processus en dynamiques de cyclone [cyclone dynamics]. Cependant, le PV est une variable complexe et plusieurs défis méthodologiques sont rencontrés lorsqu’il est utilisé pour de telles analyses. Par conséquent, des travaux futurs pourraient utiliser des implémentations améliorées de l’inversion de PV par morceaux qui soient plus cohérentes avec les équations primitives du modèle et plus adéquates pour des grilles à l’échelle fine [fine scale grids] (par exemple Decker, 2010). En outre, d’autres études de cas qui sont principalement induites [driven] par le qmo devraient être étudiées. Il serait surprenant que de tels cas ne se retrouvent que dans la région méditerranéenne. Par conséquent, une analyse utilisant des traceurs de PV devrait également être appliquée à une grande variété d’autres cyclones dans les trajectoires des tempêtes. Un tel effort devrait inclure l’application de l’inversion PV par morceaux à une gamme beaucoup plus large de cyclones que les 100 cas utilisés dans cette étude. Cela améliorera nos connaissances sur le continuum des cyclones basé sur les processus, comme le montre la figure 10, et révélerait probablement un grand nombre de cyclones produit [driven] de manière diabatique. Bien que se concentrer sur les cyclones les plus intenses soit une approche raisonnable pour comprendre les principaux processus d’intensification des cyclones méditerranéens, les cyclones moins forts sont également pertinents pour les conditions météorologiques à fort impact, en particulier en ce qui concerne la survenue de fortes précipitations (Flaounas et al. 2018). Dans des études ultérieures, nous visons donc à étendre notre analyse à davantage de cyclones pour comprendre leurs processus moteurs, mais cette fois du point de vue des impacts. Enfin, il est dans les perspectives de cette étude d’apporter une nouvelle définition des médicanes, basée uniquement sur la dynamique atmosphérique : des cyclones méditerranéens qui sont soutenus, ou fortement animés, par des processus diabatiques. Cette définition permettrait à la communauté d’élargir son champ d’action à un groupe de cyclones plus large que le nombre limité de cas, actuellement qualifiés de médicanes.
Disponibilité du code.
Le diagnostic des traceurs de PV correspond à un seul module, écrit en Fortran et sa mise en œuvre nécessite des modifications supplémentaires sur plusieurs parties du code WRF d’origine. L’ensemble du package PV-traceurs est adapté à la version 4.0 de WRF et peut nécessiter des modifications mineures supplémentaires pour sa mise en œuvre dans les versions ultérieures du modèle. Le diagnostic et toutes les modifications pertinentes du code source sont disponibles gratuitement sur demande.
7. Supplément
Les données supplémentaires liées à cet article sont disponibles en ligne à l’adresse : https://doi.org/10.5194/wcd-2-255-2....
Contributions des auteurs.
EF et SLG ont conçu cette étude, et FT a fourni l’expertise et des outils pour effectuer une inversion PV par morceaux. EF a écrit la majeure partie de l’article avec des contributions substantielles de SLG et de FT.
Intérêts concurrents.
Les auteurs déclarent n’avoir aucun conflit d’intérêts.
Remerciements.
Nous remercions Baruch Ziv et deux évaluateurs anonymes pour leurs commentaires et suggestions constructifs qui ont grandement amélioré cet article. Emmanouil Flaounas remercie Oscar Martinez-Alvarado pour son aide et soutien lors du développement du diagnostic du bilan de PV pour WRF et John Methven pour des discussions intéressantes sur l’interprétation des traceurs de PV.
Soutien financier
Emmanouil Flaounas remercie le financement par le biais du Conseil européen de la recherche H2020 (INTEXseas (subvention n° 787652)). Franziska Teubler remercie le financement par le biais de la subvention de la fondation allemande pour la recherche [DFG] RI 1771/4-1 et du Centre de recherche collaboratif transrégional SFB/TRR 165 « Waves to Weather » (www.wavestoweather.de) financé par la Fondation allemande pour la recherche (DFG).
Suivi de l’article
Cet article à été édité par Nili Harnik et révisé par Baruch Ziv et des arbitres anonymes.
276 E. Flaounas et al. : A process-based anatomy of Mediterranean cyclones
Références
Adamson, D. S., Belcher, S. E., Hoskins, B. J. et Plant, R. S. : Frottement de la couche limite dans les cyclones de latitude moyenne, Q. J. R. Meteorol. Soc., 132 (614), 101-124, doi : 10.1256 / qj.04.145, 2006.
Adamson, D. S., Belcher, S. E., Hoskins, B. J. and Plant, R. S. : Boundary-layer friction in midlatitude cyclones, Q. J. R. Meteorol. Soc., 132(614), 101–124, doi:10.1256/qj.04.145, 2006.
...
On trouvera la liste in-extenso des références dans le texte de référence de l’article en anglais, par exemple ici https://wcd.copernicus.org/articles...
Images développées et leurs légendes

- Figure 1
- Image développée et sa légende
Figure 1 : Domaine des simulations et orographie (couleur). Les points représentent les emplacements des 100 cyclones à leur stade de maturité. La taille des points est proportionnelle à la pression moyenne au niveau de la mer au centre des cyclones (voir légende dans le coin supérieur gauche du domaine). Les couleurs de points représentent la saison : noir pour l’hiver, magenta pour le printemps, vert pour l’été et bleu pour l’automne.

- Figire 2
- Image développée et sa légende
Figure 2 : (a) Distribution mensuelle de l’occurrence des cyclones. (b) Cyclones triés en fonction de leur pression centrale moyenne au niveau de la mer au cours de leur stade de maturité.

- Figure 3
- Image développée et sa légende
Figure 3 : Composite [?] pour les 100 cyclones au moment de leur stade de maturité de PV à 300 hPa (en contours gris avec des intervalles de contour de 0,5 PVU, démarrant à 1,5 PVU), pression moyenne au niveau de la mer (en contours noirs) et vent horizontal (flèches ) et température potentielle équivalente à 850 hPa (couleurs) avec (0,0) indiquant la position des centres du cyclone.

- Figure 4
- Image développée et sa légende
Figure 4 : Profils verticaux du PV total et des traceurs de PV pour les 100 cyclones (en lignes grises), en moyenne 100 km autour des centres des cyclones au moment de leur stade de maturité. Les moyennes de profil et le PVU nul sont représentés respectivement par des lignes noires pleines et pointillées. Notez que la plage de valeurs sur l’axe des x n’est pas commune à tous les panneaux.

- Figure 5
- Image développée et sa légende
Figure 5 :(a) composites des moyennes pour les 100 cyclones au moment de leur stade de maturité de qco (en couleur) et de vent (en flèches) à 300 hPa. (b) comme en a, mais à 850 hPa. (c) comme en (a), mais pour la somme de tous les traceurs de PV non conservés. (d) comme en (b) mais pour la somme de tous les traceurs de PV non conservés. Notez que les plages de valeurs dans les barres de couleurs diffèrent selon les panneaux. Pour aider à localiser les fronts, la moyenne composite de la température potentielle équivalente (-e) à 850 hPa est également indiquée dans les panneaux (b) et (d) (contours noirs, tous les 2 K, en gras pour 308 K).

- Figure 6
- Image développée et sa légende
Figure 6 : (a) Profils verticaux moyens des traceurs de θ [θ tracers] pour les 100 simulations, moyennés dans un rayon de 100 km autour des centres cycloniques ; la longueur des barre d’incertitudes est égale au double de l’écart type. (b) comme en (a) mais pour des tendances de température instantanées

- Figure 7
- Image développée et sa légende
Figure 7 : Composite pour les 100 cyclones au moment de leur stade de maturité pour le vent horizontal (flèches) et pour différents traceurs de PV à différents niveaux atmosphériques (couleurs), avec (0,0) indiquant la position des centres des cyclones. A titre indicatif pour la localisation des fronts, la composite moyenne [?] de la température potentielle équivalente (θe) à 850 hPa est également représentée (contours noirs, tous les 2 K, en gras pour 308 K). Notez que la plage des valeurs de la barre de couleurs change d’un panneau à l’autre.
[NDT : composite semble désigner un ensemble de figure ne variant que par un seul paramètre, ’composition’ ?]

- Figure 8
- Image développée et sa légende
Figure 8 : Profils verticaux moyens des traceurs de PV pour les 100 simulations, moyennés dans un rayon de 100 km autour des centres du cyclone. La longueur des barres d’incertitude est égale à deux fois l’écart type

- Figure 9
- Image développée et sa légende
Figure 9 : Nuage de points reliant la somme de qbl et qlw à la somme de qcu et qmp pour les 100 cyclones. Les valeurs des traceurs de PV correspondent à des moyennes dans un rayon de 100 km autour des centres cycloniques au niveau de 850 hPa. La taille du point est proportionnelle à la pression moyenne au niveau de la mer [MSLP] au centre du cyclone et la ligne en pointillés représente l’équation qcu + qmp = - (qbl + qlw)

- Figure 10
- Image développée et sa légende
Figure 10 : Nuage de points reliant d’une part les champs de tourbillon relatifs moyennés après avoir inversé les traceurs de PV conservés (axe x) à d’autre part la somme de tous les traceurs de PV non conservés (axe y). Les cercles rouges représentent les dix cas de medicane de notre ensemble de données

- Figure 11
- Image développée et sa légende
Figure 11 : (a) Tourbillon relatif moyenné (en couleur), champ de vent (en flèches) et hauteur géopotentielle (en contour) à 850 hPa après inversion du PV atmosphérique total pour le cas de cyclone n° 5. Les sorties du modèle pour ce cas sont indiquées dans le matériel supplémentaire. (b) comme en (a), mais pour le cas n° 78. (c) le champ de qco à 300 hPa (en couleur) et les champs de vent équilibré (en flèches) et de hauteur géopotentielle (en contour) à 850 hPa après inversion de qco. (d) comme en (c) mais pour le cas n° 78. (e) le champ de la somme de tous les traceurs de PV non conservés à 850 hPa (en couleur), ainsi que le champ de vent moyenne (en flèches) et la hauteur géopotentielle (en contour) à 850 hPa après avoir inversé tous les éléments non conservés de PV. (f) comme dans (e), mais pour le cas n° 78. Dans tous les panneaux, le point magenta représente le centre des cyclones.

- Figure 12
- Image développée et sa légende
Figure 12 : Comme pour la figure 11 mais pour les cas n° 30 et n° 75.

- Figure 13
- Image développée et sa légende
Figure 13 : (a) Le champ de qmp + qcu + qbl + qlw à 850 hPa (en couleur) et les champs de vent moyenné (en flèches) et de hauteur géopotentielle (en contours) à 850 hPa après inversion de qmp + qcu + qbl + qlw pour le cas du cyclone n° 30. (b) comme en (a), mais pour le cas n° 75.

- Figure 14
- Image développée et sa légende
Figure 14 : Comme pour la figure 11, mais pour les cas n° 15 et n° 58.

- Figure 15
- Image développée et sa légende
Figure 15 :
(a) Le champ de qmp + qcu + qbl + qlw à 850 hPa (en couleur) et les champs de vent moyenné (en flèches) et de hauteur géopotentielle (en contours) à 850 hPa après inversion de qmp + qcu + qbl + qlw pour le cas n° 15.
(b) comme en (a), mais pour le cas n° 58.
(c) le champ de qmo à 850 hPa (en couleur) et les champs de vent moyenné (en flèches) et de hauteur géopotentielle (en contours) à 850 hPa après inversion de qmo, pour le cas n° 15.
(d) comme en (c), mais pour le cas n° 58

- Figure 16
- Image développée et sa légende
Figure 16 : Comme pour la figure 11, mais pour les cas n° 24 et n° 62

- Figure 17
- Image développée et sa légende
Figure 17 :
(a) champs de (en couleur), vent (en flèches), qmo (en contour noir avec des intervalles de contour de 0,5 PVU, à partir de 1 PVU) et qmol (en contour magenta pour -0,5 et -1 PVU) à 850 hPa lors du stade de maturité du cyclone #62.
(b) Coupe verticale le long de la ligne verte du panneau (a), montrant en couleurs le champ de Fx (forçage d’impulsion à partir de la paramétrisation de la PBL) et en contours noirs le champ de production PV barocline (somme des deux derniers termes de l’équation 8 ), à partir de 0,05 PVU s-1 avec un intervalle de 0,1 PVU s-1.


Suivi RSS
Conception

Version imprimable

